物質內容
中文名稱: 間苯三酚,二水
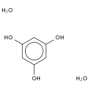
英文名稱: Phloroglucinoldihydrate
間苯三酚,二水 別名: 1,3,5-三羥基苯,弗羅羅格魯辛,根皮苷酚,藤黃酚,均苯三酚
m-Trihydroxybenzene
1,3,5-Trihydroxybenzene
CAS: 6099-90-7
MDL: MFCD00149090
分子式:C6H6O3·2H2O;C6H3(OH)3·2H2O
分子量: 162.14
SMILES: Oc1cc(O)cc(c1)O.O.O
EINECS: 203-611-2
屬性
熔點 218-221°C(A)(lit.)閃點 100°C
儲存條件 StoreatRT.
水溶解性 slightlysoluble
敏感性 LightSensitive
Merck 14,7328
穩定性 Stable.Incompatiblewithacidchlorides,acidanhydrides,bases,oxidizingagents.Combustible.
CAS資料庫 6099-90-7(CASDataBaseReference)
危險屬性
危險品標誌 Xi危險類別碼 36/37/38
安全說明 37/39-26-36
WGKGermany 2
RTECS號 DC4662500
說明
用途:用作生物試劑,染料,及用於檢驗香草素、木質素,測定糖醛、多縮戊糖等貯存:對光敏感,避光保存
