簡介
工程材料中,有些材料的原子按共價鍵、范德瓦爾鍵進行結合,它們的原子在分子範圍內按一定規律排列,可是分子與分子之間則隨機地無規律的連線在一起。例如SiO,是四個氧原子與一個矽原子組成的共價鍵結合,矽和氧構成四面體結構。但是SiO的四面體單元可隨機地無規律的結合在一起,即形成非晶體態玻璃。通常將分子範圍內的規律排列稱為短程有序排列,因為排列規律性只涉及鄰近區域的原子。大多數聚合物具有短程有序的原子排列。
工程材料中,有些材料按金屬鍵、離子鍵進行結合,它們的原子按一定規律排列,但原子排列的規律性,不只是在鄰近區域原子範圍內,而是遍及整個材料內部。通常將整個材料內部原子具有規律性的排列,稱為長程有序。原子長程有序時,即構成晶體。例如金屬、許多陶瓷和一些高分子材料,其原子排列均表現為長程有序,即這些材料的原子構成了晶體。
長程有序度
長程有序
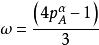
長程有序A-B二元合金系中.若形成元序固溶體時,點陣中的陣點可以任意地為A或B原子占據;若形成有序固溶體時,點陣陣點α位置應為A原子占據,β位置應為B原子占據,即各原子占據在自己一定的正確位置上。現設A組元的原子百分數為C,B組元的原子百分數為C;為A原子占據α位置的幾率,為B原子占據β位置的幾率;p為A、B組元中的一種組元的原子(即A或B)處於正確位置的幾率,C為其相應組元的原子百分數,則長程有序度ω,定義為:
長程有序
長程有序
長程有序
長程有序
長程有序
長程有序
長程有序可見,當p=C時,ω=0,則為完全無序固溶體;當p=1時,ω=1,則為完全有序固溶體。因而,對AB型合金,,則;對AB型合金,若從A組元出發,其,則;對AB型合金,仍從A組元出發,其,則。
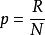
此外,在AB型合金中,ω還可用下式表達:
長程有序
長程有序
長程有序式中,N為原子總數;R為占“對”陣點的原子數(即A占α位囂、B占β位置);W為占“錯”陣點的原予數(即A占β位置、B占α位置)。因在無晶體缺陷時,,而,由此可得出上式。
長程有序引起的強化
如下左圖所示,當溶質原子呈長程有序分布時,可在滑移面兩側原子之間形成AB型原子匹配關係。當有位錯在滑移面上運動時,會不斷破壞這種有序關係,形成反相疇界。故單個位錯只有在附加的外力作用下才能運動,以補償形成反相疇界所需的能量。若設反相疇界能為γ時,為使單個位錯運動所需施加的切應力為:
長程有序式中,b為位錯的柏氏矢量。在反相疇界能高的合金中,只有存在應力集中時才有可能達到上式所給出的條件。
長程有序在長程有序合金中,位錯易於以超點陣位錯的形式成對運動。這種超點陣位錯是由兩個同號全位錯以反相疇界相連所組成的位錯對(上右圖)。其中每個全位錯又可分解形成擴展位錯。要使超點陣位錯運動時,無需額外加力。由領先位錯形成的反相疇界,
可通過與其成對的後續位錯追蹤運動所消毀,故綜合的結果是系統能量不變。但若晶體中已存在反相疇界時,也可成為超點陣位錯運動的有效障礙。如下左圖(b)所示,當超點陣位錯穿越反相疇界時,會使反相疇界產生兩原子長的台階,導致系統能量升高。這不但會在主滑移面上形成反相疇界,造成次滑移中位錯運動的困難,而且,在主滑移面上有超點陣位錯繼續滑移時,還會形成如下左圖(a)所示的組態,使主滑移受阻。領先位錯通過滑移面上的反相疇界時,可使之消除而引起超點陣位錯解體。於是,領先位錯與尾隨位錯便分別在斷開的兩反相疇界處受阻。
由於上述超點陣位錯運動機制,將使有序合金的起始流變應力較低,而加工硬化率很高,易於通過快速加工硬化而獲得高強度。有序合金的單晶體變形時,只有線性硬化階段,如下右圖所示。這表明,超點陣位錯易在主滑移面上產生平面滑移,而難於發生交滑移。超點陣位錯平面滑移的結果,易在晶界處形成塞積並引起應力集中。所以,有序合金可由冷變形得到顯著硬化,卻使塑性損失較大。
長程有序結構
原子有序分布的固溶體或類似的化合物稱為有序固溶體或超點陣。超點陣的各個原子位置和原子面是由不同富化的原子所組成的。這樣等同的原子面的面間距就比無序固溶體的等同原子面間距要長若干倍。超點陣通常具有簡單的原子比,諸如AB、AB、AB等,因此超點陣也被稱為長程有序結構。這種等同原子面和點陣的變化會產生新的附加衍射斑。
無序固溶體和超點陣結構在一定條件下是可以相互轉變的,同時超點陣這種有序程度在一定範圍內是波動的,所以人們習慣於把超點陣所對應的無序結構作為結構的來源稱為基本結構,而把超點陣或長程有序結構看作派生的結構,附加的結構。有些在各種條件下都是有序的結構,它本身就類似於化合物的相,而且沒有對應轉化的無序結構,但習慣上也還是稱為超點陣。
上述這種結構之間的源和流的關係,基本和附加的觀點也帶到電子衍射譜的分析中來,通常無序固溶的衍射斑稱為基本斑點,而把超點陣衍射譜中多餘的斑點稱為超點陣附加斑點。從電子衍射中可以清楚的區分出這兩類衍射斑,基本斑點較為明亮,附加斑點較為微弱。
超點陣按原子有序和空位層的類別,可以分為三類:代位原子有序導致的長程有序稱為代位型超點陣;間隙原子有序導致的長程有序稱為間隙型超點陣;原子空位層有序導致的長程有序稱為非保守位移超點陣。 此處不再對三種類型逐一解釋。

