定義
鋒生函式(function of frontogenesis)是指表征水平運動、垂直運動、非絕熱變化和摩擦諸因素對鋒生作用的物理量。
鋒生函式定義為:
鋒生函式
鋒生函式式中 為位溫水平梯度。
其中,
鋒生函式
鋒生函式
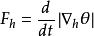
鋒生函式鋒生函式描述了水平位溫梯度隨質點運動的變化率。 表示鋒生, 表示鋒消。
影響因子
表達式
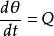
由熱力學方程有(1)式:
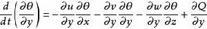
鋒生函式其中,Q表示非絕熱加熱。
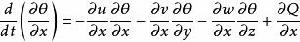
對(1)式分別對x,y微分可得,
鋒生函式
鋒生函式而
鋒生函式利用流體力學中知識,可有
鋒生函式
鋒生函式
鋒生函式
鋒生函式其中,
鋒生函式
鋒生函式
鋒生函式
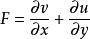
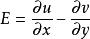
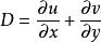
鋒生函式分別表示水平散度、伸展形變、切邊形變、垂直方向的渦度。
利用上式可得,
鋒生函式即
鋒生函式其中,
鋒生函式
鋒生函式
鋒生函式
鋒生函式
鋒生函式其中n為沿 方向的單位矢量。
物理意義
下面分別討論以上四項的物理意義:
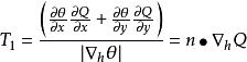
(1)非絕熱加熱T
T表示沿已存在溫度梯度方向的非絕熱加熱的梯度產生的鋒生作用。
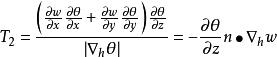
(2)垂直運動作用T
T表示由於在沿已存在溫度梯度方向不同的垂直運動使垂直方向溫度梯度的水平方向溫度梯度的轉換。
鋒生函式
鋒生函式若大氣為穩定層結 ,當暖氣團中下沉運動w < 0,而冷氣團中有上升運動w > 0,相應有 ,則表示鋒生。相反則為鋒消過程。
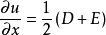
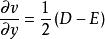
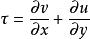
(3)水平運動輻合T
T表示在已有的水平溫度梯度情況,水平輻合(D < 0 )或水平輻散(D > 0)產生的水平溫度梯度的增加(或減弱),即鋒生或鋒消。
(4)水平變形場的作用T
鋒生函式
鋒生函式
鋒生函式T表示整個水平變形產生的鋒生作用。為了更進一步簡化,選β區典型變形場,設x軸為變形場的膨脹軸,y軸為收縮軸,而等位溫線與x軸的夾角為β,相應位溫梯度 與x軸的夾角為 ,則位溫梯度 ,相應T表達式為
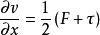
鋒生函式對於線性變形場,F=0,相應有
鋒生函式相應當β < 45°,T表示鋒生作用,當β > 45°時,表示鋒消作用,當β = 0時,表示鋒生作用最大。
套用
在觀測分析研究中,試圖確定鋒生函式中各T項的相對重要性。然而, 垂直運動的估計非常困難,即使能計算出,但其結果包含許多“噪聲”,相應T的估計同樣如此,同樣對T的估計,在目前的有效觀測資料的情況下,仍非常困難。

