基本介紹
目前已有的重大危險源分級方法主要包括:“死亡半徑法”、“易燃、易爆、有毒重大危險源評價法”等。我國早期的重大危險分級採用用人員傷亡和直接經濟損失等定量指標,事故隱患分級標準採用事故危害和整改難度等定性指標、無定量指標。現在,《危險化學品重大危險源監督管理暫行規定》 規定了明確的四級分類定量標準,並詳細規定了重大危險源的相關管理要求。
分級的變遷
曾經的簡單分級
國家安全生產監督管理總局2005年下發了《關於規範重大危險源監督與管理工作的通知》,其中規定:
按照重大危險源的種類和能量在意外狀態下可能發生事故的最嚴重後果,重大危險源分為四級,可能造成特別重大事故的為一級重大危險源;可能造成特大事故的為二級重大危險源;可能造成重大事故的為三級重大危險源;可能造成一般事故的為四級重大危險源。
最新規定的分級方法
《危險化學品重大危險源監督管理暫行規定》(安監總局令第40號)明確提出了對重大危險源進行分級的要求,並規定了具體的分級方法。根據其規定,危險化學品重大危險源科分為一級、二級、三級、四級。
其中第八條規定:危險化學品單位應當對重大危險源進行安全評估並確定重大危險源等級。危險化學品單位可以組織本單位的註冊安全工程師、技術人員或者聘請有關專家進行安全評估,也可以委託具有相應資質的安全評價機構進行安全評估。依照法律、行政法規的規定,危險化學品單位需要進行安全評價的,重大危險源安全評估可以與本單位的安全評價一起進行,以安全評價報告代替安全評估報告,也可以單獨進行重大危險源安全評估。
重大危險源根據其危險程度,分為一級、二級、三級和四級,一級為最高級別。
分級的方法
根據《危險化學品重大危險源監督管理暫行規定》附屬檔案一的規定,重大危險源一二三四級的劃分方法如下:
分級指標
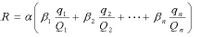
採用單元內各種危險化學品實際存在(線上)量與其在《危險化學品重大危險源辨識》(GB18218)中規定的臨界量比值,經校正係數校正後的比值之和 R作為分級指標。
R的計算方法
重大危險源分級法式中:
q1,q2,…,qn —每種危險化學品實際存在(線上)量(單位:噸);
Q1,Q2,…,Qn —與各危險化學品相對應的臨界量(單位:噸);
β1, β2…,βn— 與各危險化學品相對應的校正係數;
α— 該危險化學品重大危險源廠區外暴露人員的校正係數。
校正係數β的取值
根據單元內危險化學品的類別不同,設定校正係數 β值,見表1和表2:
表1 校正係數 β取值表
| 危險化學品 類別 | 毒性氣體 | 爆炸品 | 易燃氣體 | 其他類 危險化學品 |
| β | 見表2 | 2 | 1.5 | 1 |
註:危險化學品類別依據《危險貨物品名表》中分類標準確定。
表2 常見毒性氣體校正係數 β值取值表
| 毒性氣體名稱 | 一氧 化碳 | 二氧 化硫 | 氨 | 環氧 乙烷 | 氯化氫 | 溴甲烷 | 氯 |
| β | 2 | 2 | 2 | 2 | 3 | 3 | 4 |
| 毒性氣體名稱 | 硫化氫 | 氟化氫 | 二氧 化氮 | 氰化氫 | 碳醯氯 | 磷化氫 | 異氰酸甲酯 |
| β | 5 | 5 | 10 | 10 | 20 | 20 | 20 |
註:未在表2中列出的有毒氣體可按 β=2取值,劇毒氣體可按 β=4取值。
校正係數α的取值
根據重大危險源的廠區邊界向外擴展500米範圍內常住人口數量,設定廠外暴露人員校正係數 α值,見表3:
表3 校正係數 α取值表
| 廠外可能暴露人員數量 | α |
| 100人以上 | 2.0 |
| 50人~99人 | 1.5 |
| 30人~49人 | 1.2 |
| 1~29人 | 1.0 |
| 0人 | 0.5 |
分級標準
根據計算出來的 R值,按表4確定危險化學品重大危險源的級別。
表4 危險化學品重大危險源級別和 R值的對應關係
| 危險化學品重大危險源級別 | R值 |
| 一級 | R≥100 |
| 二級 | 100 >R≥50 |
| 三級 | 50 >R≥10 |
| 四級 | R<10 |

