概述
重力沉降室示意圖重力沉降窒是最古老、最簡易的除塵設備,主要由室體、進氣口、出氣口和集灰斗組成。含塵氣流進入室體內,因流動截面積的擴大而使氣體流速降低,較大塵粒藉助自身重力作用自然沉降而被分離捕集下來。
重力沉降室適用於捕集密度大、顆粒大(50 μm以上)的粉塵,特別是磨損件很強的粉塵。其優點是結構簡單、造價低、施工容易、維護管理方便、阻力小(一般為50~150Pa),可處理較高溫氣體(最高使用溫度能達到350~550℃)、可回收乾灰等,但缺點是除塵效率低(約50%)、占地面積大,因此,一般作為多級除塵系統中的預除塵器使用。
沉降室的除塵效率與沉降室的結構、氣流速度、塵粒大小等因素直接相關。沉降室的尺寸宜以矮、寬、長的原則布置。沉降室內氣流速度越低,越有利於捕集細小塵粒,但設備體積相對龐大;在室內氣流速度一定的前提下,增加沉降室的縱深,也可提高除塵效率.但不宜延長至10 m以上;在沉降室內合理布置擋牆、隔板、噴霧或在沉降窒底部設定水封池等措施,均能在一定程度上(10%~15%)提高除塵效率。
除塵效率
通常假定:①顆粒在除塵器入口斷面上分布均勻;②顆粒的運動軌跡是由水平和垂直兩個方向的分速度合成的。在水平方向,顆粒與氣體具有相同的速度Vo;在垂直方向,忽略氣體的浮力,顆粒僅在重力和氣體阻力作用下以其終末重力沉降速度Us沉降。基於上述假定的沉降室除塵效率,主要決定於氣流的流動狀態(即無混合的塞狀流、無混合的層流、橫向混合的紊流和完全混合的紊流)。
無混合是假定除塵器中未被捕集的顆粒無任何混合,既無軸向(氣流方向)混合,也無橫向混合,塞狀流是假定在任一橫斷面上氣流速度分布是均勻的。
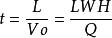
設沉降室的長、寬、高分別為L、W、H,水平氣流速度為Vo(m/s),處理氣體流量為Q(m /s),則氣流在沉降室內的停留時間:
重力沉降室在時間t內,粒徑為dp的顆粒的重力沉降高度hc為:
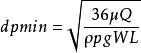
重力沉降室因此,對於粒徑為dp的顆粒,只有在高度hc以下進入沉降室.才能以其沉降速度Us沉降到下部灰斗中。若hc<=H,則對粒徑為dp的顆粒的分級除塵效率為:
重力沉降室
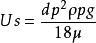
重力沉降室對於斯托克斯區域,沉降速度
重力沉降室代入上式中得到:
對於stokes粒子,重力沉降室能100%捕集的最小粒子有hc=H,即下式成立。
重力沉降室
重力沉降室由於沉降室內的氣流擾動和返混的影響,工程上一般用分級效率的公式的一半作為實際分級效率,則有:
重力沉降室結構
裝有“人”字形擋板的沉降室
裝有擋板的沉降室為提高沉降室的除塵效率,有的在室內加裝一些垂直擋板,一方面為了改變氣流的運動方向,由於粉塵慣性較大,不能隨同氣體一起改變方向,撞到擋板上,失去繼續飛揚的動能,沉降到下面的灰斗中;另一方面為了延長粉塵的通行路程,使它在重力作用下逐漸沉降下來。如圖所示,使氣體產生一些小股渦旋,塵粒受到離心作用,與氣體分開,並碰到室壁上和擋板上,使之沉降下來。對裝有擋板的沉降室,氣流速度可以提高到6-8m/s,多段沉降室設有多個室段,這樣相對地降低了塵粒的沉降速度。

