基本介紹
醯鹵左式中R為氫或烴基;X為氟、氯、溴、碘。醯鹵是非常活潑的化合物,不存在於自然界,只能通過化學
合成製得。其中以醯氯最為重要。低級的醯氯為具有刺鼻氣味的無色液體,高級醯氯為無色固體。甲醯氯在常態下不存在,製備時總是得到一氧化碳和氯化氫,因此在某些反應中,常利用一氧化碳和氯化氫混合氣體在氯化亞銅催化下代替甲醯氯。
醯滷的生成甲醯氟在低溫下可以存在,在室溫下數小時後即自行分解。醯氯與酸酐近似,易發生水解,醇解和氨解反應,分別生成酸、酯和醯胺。在反應過程中,水、醇(或酚)、胺分子中的氫被醯基取代,所以這些反應又稱醯化反應。醯氯與格氏試劑發生加成反應,先生成酮,酮再與
格氏試劑反應,生成三級醇。醯鹵可被氫化鋁鋰還原成醇,若用氫化三(三級丁氧基)鋁鋰作還原劑,或在喹啉-硫存在下進行催化氫化,反應可停止在生成醛的階段。
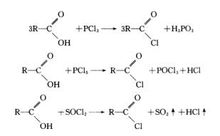
製備
醯氯可由羧酸與無機酸的醯氯如三氯化磷、五氯化磷、亞硫醯氯SOCl2作用製得。草醯氯(COCl)2是合成其他醯氯的有效試劑。亞硫醯氯和草醯氯適於製備沸點較高的醯氯。若用羧酸鈉作原料,適合用三氯氧磷。醯氯中以乙醯氯和苯甲醯氯最重要,醯氯是有機合成的重要醯化試劑,也可用於有機化合物中羥基或氨基的測定。

