警示語
當藥品性狀發生改變時禁止服用
請將此藥品放在兒童不能接觸的地方
對本品過敏者禁用
成份
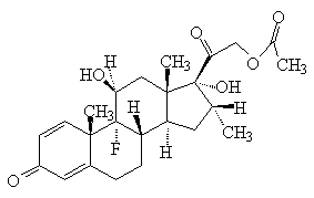
化學名稱:本品主要成份為醋酸地塞米松,其化學名稱為16α -甲基-11β,17α ,21-三羥基-9α -氟孕甾-1,4-二烯-3,20-二酮21-醋酸脂。
化學結構式:
醋酸地塞米松片分子式:CHFO
分子量:434.50
性狀
本品為白色片。
規格
0.75mg
用法用量
口服,成人開始劑量為一次0.75~3.00mg(1~4片),一日2~4次。維持量約一日0.75mg(1片),視病情而定。
不良反應
本品較大劑量易引起糖尿病、消化道潰瘍和類柯興綜合徵症狀,對下丘腦-垂體-腎上腺軸抑制作用較強。並發感染為主要的不良反應。
禁忌
對本品及腎上腺皮質激素類藥物有過敏史患者禁用。高血壓、血栓症、胃與十二指腸潰瘍、精神病、電解質代謝異常、心肌梗塞、內臟手術、青光眼等患者一般不宜使用。特殊情況下權衡利弊使用,但應注意病情惡化的可能。
注意事項
1.結核病、急性細菌性或病毒性感染患者慎用,必要套用時,必須給予適當的抗感染治療。
2.長期服藥後,停藥前應逐漸減量。
3.糖尿病、骨質疏鬆症、肝硬化、腎功能不良、甲狀腺功能低下患者慎用。
4.運動員慎用。
孕婦及哺乳期婦女用藥
妊娠期婦女使用可增加胎盤功能不全、新生兒體重減少或死胎的發生率,動物試驗有致畸作用,應權衡利弊使用。乳母接受大劑量給藥,則不應哺乳,防止藥物經乳汁排泄,造成嬰兒生長抑制、腎上腺功能抑制等不良反應。
兒童用藥
小兒如使用腎上腺皮質激素,須十分慎重,用激素可抑制患兒的生長和發育,如確有必要長期使用時,應使用短效或中效製劑,避免使用長效地塞米松製劑。並觀察顱內壓的變化。
老年用藥
易產生高血壓,老年患者尤其是更年期後的女性使用易發生骨質疏鬆。
藥物相互作用
1.與巴比妥類、苯妥英、利福平同服,本品代謝促進作用減弱。
2.與水楊酸類藥合用,增加其毒性。
3.可減弱抗凝血劑、口服降糖藥作用,應調整劑量。
4.與利尿劑(保鉀利尿劑除外)合用可引起低鉀血症,應注意用量。
藥物過量
尚未明確。
藥理毒理
腎上腺皮質激素類藥,其抗炎、抗過敏、抗休克作用比潑尼松更顯著,而對水鈉瀦留和促進排鉀作用很輕,對垂體-腎上腺抑制作用較強。
1.抗炎作用:本產品可減輕和防止組織對炎症的反應,從而減輕炎症的表現。激素抑制炎症細胞,包括巨噬細胞和白細胞在炎症部位的集聚,並抑制吞噬作用、溶酶體酶的釋放以及炎症化學中介物的合成和釋放。可以減輕和防止組織對炎症的反應,從而減輕炎症的表現。
2.免疫抑制作用:包括防止或抑制細胞介導的免疫反應,延遲性的過敏反應,減少T淋巴細胞、單核細胞、嗜酸性細胞的數目,降低免疫球蛋白與細胞表面受體的結合能力,並抑制白介素的合成與釋放,從而降低T淋巴細胞向淋巴母細胞轉化,並減輕原發免疫反應的擴展。可降低免疫複合物通過基底膜,並能減少補體成分及免疫球蛋白的濃度。
藥代動力學
本品極易自消化道吸收,其血漿T為190分鐘,組織T為3日。血漿蛋白結合率較其他皮質激素類藥物為低。
貯藏
遮光、密封保存。
包裝
口服固體藥用高密度聚乙烯瓶包裝,每瓶100片。
有效期
36個月
執行標準
《中國藥典》2010年版二部

