提出命名
在組合數學中,那羅延數以及由那羅延數形成的那羅延三角,經常會出現在各種各樣的計數問題中。那羅延數和那羅延三角是以印度數學家 T.V. Narayana(1930–1987)的名字來命名的。
計算公式
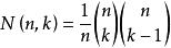
那羅延數N(n,k)的計算公式為
那羅延數主要性質
那羅延三角中每一行的和為卡特蘭數,即
那羅延數由下面的例子可以證明上面的公式。考慮從(0,0)到(2n,0),只有(1,1)和(-1,-1)兩種移動方式,且要求運動軌跡不能低於x軸,一共有多少種情況。
那羅延數當n=4時,一共有1+6+6+1=14種,如下圖,恰好等於。
那羅延數
那羅延數事實上,這個問題等價於求從(0,0)到(n,n)的位於對角線上方的非降路徑數,即。
主要舉例
那羅延三角
那羅延三角(OEIS A001263)的前8行為
k = 1 2 3 4 5 6 7 8
n = 1 1
2 1 1
3 1 3 1
4 1 6 6 1
5 1 10 20 10 1
6 1 15 50 50 15 1
7 1 21 105 175 105 21 1
8 1 28 196 490 490 196 28 1
()字元串
在由n對"(“、”)"組成的字元串中,共有k對“(“與”)”相鄰,這樣的字元串一共有N(n,k)個。例如n=4,k=2時,N(n,k)=6,分別為
()((())) (())(()) (()(())) ((()())) ((())()) ((()))()
