類型
邊底水能量可以分為三種類型:活躍型、比較活躍型和不活躍型,其中活躍型的水體較大,水油體積比在100倍以上,其採收率在16~55%之間,平均36.5%;比較活躍的邊底水油體積比在10~100倍之間,其採收率在20~28%之間,平均23%;不活躍的邊底水油體積比一般小於10倍,其採收率在10~21%之間,平均16%。
例如,塔木察格盆地位於蒙古國最東部,與海拉爾盆地同屬於一個盆地。目前勘探面積達3500km 。2008年底,塔南油田提交石油探明地質儲量12013萬噸,含油麵積75.48平方千米,從油田試油、試采資料以及油田注水開發後油井的生產動態情況分析,油田邊部存在一定規模的邊水能量。
根據上述三種類型可以分析出,形成邊底水驅動需要兩個條件:
①油藏具備一定的邊底水能量(水體)。油藏水體的大小,可以用水體指數來描述。水體指數定義為:水體體積與油層原油體積之比。它顯示油藏條件下水體體積對石油體積的倍數。掌握油藏的水體指數,對於分析研究油藏開採動態,計算邊底水能量、水侵量和天然水驅採收率具重要意義。
②油藏壓力出現一定下降,並且壓力下降幅度應與邊底水水體距離油藏主體的距離相適應。即邊底水距離油藏主體較近時,油藏壓力稍有下降就可以出現邊底水驅動;但若油藏水體(主要是邊水)距離油藏主體較遠,則油藏的壓降就需相應增大(以保證必要的壓降梯度),才能形成較具規模的邊底水驅動。
存在形式
邊底水能量(1)封閉型邊底水能量
封閉型邊底水是指與油藏連通的邊底水體積有限,並且不與外界連通。整個油藏與邊底水為一個統一的水動力系統,並具有良好的封閉性。因此,這時的邊底水能量就只是邊底水所具有的彈性能量,其大小隻與邊底水的體積有關。因而,也有人稱封閉型邊底水能量為“彈性水驅”能量。
(2)有外界水源供給的邊底水能量
它指油藏邊底水與外界(通常是地面或淺表水系的湖、河或海)水源有較好的連通時,在油藏投入降壓開發後,外界水源會在壓差作用下源源不斷地流向油藏邊底水區域,釋放出強大的邊底水壓力能量。有外界水源供給的邊底水能量本質上是一種水壓勢能,它的大小取決於外界水源的豐富程度和向油藏水體的補給速度。因此,它比封閉型邊底水的彈性能量要強大得多,因此,也有人稱其為“剛性水驅”能量(右圖)。
一般來說,底水油藏由於水體緊鄰油藏主體,油藏一經投入開發,就可以較快地形成底水驅動;如果底水水體較大,則驅動更為強烈。邊水則由於距離油藏主體較遠,要形成邊水驅動就需要較大的壓降和較長的時間。當然以上兩種情況都與油層滲透率有關,如果滲透率較高,則形成天然水驅較快,否則較慢。
此外,還常常存在這樣的情況,即在油層與邊底水接觸的區域尤其接觸帶界面附近,由於地層水的氧化作用,常使原油變稠,密度粘度增加,這就使邊底水驅動的壓降條件有所提高,或實際水驅出現一定的減慢或滯後。天然水驅採收率的大小視水體大小或水體能量的多少決定,高者可達30%--40%,中等者15%--30%,低者5%--15%或更低。
評價方法
邊底水能量可以用油藏能量指數來進行評價。所謂油藏能量的強弱,是指油藏流體流入井筒的難易程度。流動越容易,說明油藏能量越強;反之,則越弱。
油藏能量的強弱,首先取決於油藏壓力的高低。油藏壓力越高,流動則越容易,油藏的能量則越強;反之,則越弱。
油藏能量的強弱,還取決於油井的舉升條件,即井底壓力的高低。井底壓力越高,流動則越困難,油藏的能量則越弱;反之,則越強。
因此,油藏能量的強弱不是絕對的,而是相對的,是油藏壓力高於井底壓力的程度。若油藏壓力與井底壓力相等,則油藏沒有任何能量可言。由於井底壓力隨工作制度和舉升方式而變化,為了便於研究,選取每種舉升方式下油井停止生產時的井底極限壓力作為對比的基礎壓力。例如自噴生產時取停噴流壓,機抽生產時取停抽流壓等。
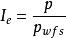
邊底水能量式中:
I——為油藏能量指數,dless;
p——為地層壓力,MPa;
p——為井底極限壓力,MPa。
由上式可以看出,油藏的能量指數隨地層壓力的變化而變化。油藏剛投入生產時,油藏的地層壓力最高,能量指數也最高。隨著開採過程的不斷進行,油藏的地層壓力不斷下降,能量指數也不斷減小。當地層壓力接近井底極限壓力時,油井停止生產,油藏的能量指數降為最小值1。能量指數的變化規律,客觀地反映了油藏能量的本質特性,而傳統指標則扭曲了油藏能量的本質特性。
為了便於對比和分析,能量指數可以分級為:
當I<1.1時,油藏能量較弱,油井勉強可以生產;
當I>1.3時,油藏能量較強,油井生產能力旺盛;
當I=1.1~1.3時,油藏能量中等,油井可以正常生產。
能量指數法不僅適合於油藏,也適合於氣藏;不僅可以評價天然能量,也可以評價人工注入的能量。

