基本介紹
邁克耳孫-莫雷實驗邁克耳孫-莫雷實驗是為了觀測“以太”是否存在而作的一個實驗,是在1887年由阿爾伯特·邁克耳孫與愛德華·莫雷合作,在美國的克利夫蘭進行的。
實驗原理
當時認為光的傳播介質是“以太”。由此產生了一個新的問題:地球以每秒30公里的速度繞太陽運動,就必須會遇到每秒30公里的“以太風”迎面吹來,同時,它也必須對光的傳播產生影響。這個問題的產生,引起人們去探討“以太風”存在與否。邁克耳孫-莫雷實驗就是在這個基礎上進行的。
當“以太風”的速度為0時,兩束光應同時到達,因而相位相同;如“以太風”速度不為零,即裝置相對以太運動,則兩列光波相位不同。
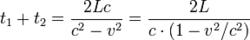
假設裝置在以太中向右以速度 v運動,且從部分鍍銀的玻璃片到兩面鏡子的距離為 L,那么向右的那一束光在向右的過程中相對裝置速度為 c− v,花費的時間 t1= L/ ( c− v),返回時速度為 c+ v,時間 t2= L/ ( c+ v)。所以總的時 間是
1
2
3
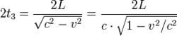
4而對於向上的那一束光,設它到達鏡子所需的時間為 t3,在這段時間裡鏡子向右移動了 v t3,所以光走過的路程是一個直角三角形的斜邊,於是有由此可得而返回時間與此相同,所以總時間所以兩束光的到達時間是不同的,根據這個實驗應該能測量出地球通過以太的速度。
實驗結果
莫雷不確信他自己的結論,繼續與達通·米勒做更多的實驗。米勒製作了更大的實驗設備,最大的安裝於威爾遜山天文台的臂長32米(有效長度)的儀器。為了避免實體牆可能造成的對以太風的阻擋,他使用了帆布為主體的流動牆。他每次鏇轉設備都會觀測到不同的小偏移,不論是恆星日還是年。他的測量值僅達到~10 km/s,而不是從地球軌道運動所期待的~30 km/s。他仍然不確信這是由於局部拖拽造成的,他沒有嘗試進行詳細的解釋。
甘迺迪後來在威爾遜山上作了實驗,米勒發現1/10的漂移,並且不受季節影響。米勒的發現當時認為非常重要,並於1928年在一份會議報告上與邁克耳孫、洛倫茲等人討論。普遍認為需要更多的實驗來檢驗米勒的結果。洛倫茲認可這個結論,造成漂移的原因不符合他的以太說或者愛因斯坦的狹義相對論。愛因斯坦沒有出席會議,但是感覺這個實驗結果恐怕是實驗誤差。後來的實驗沒能重新獲得米勒的結果,現代實驗的精度推翻了此實驗結論。
| 實驗者 | 年份 | 臂長 (米) | 期待的條紋偏移 | 測到的條紋偏移 | 實驗精度 | V以太的上限。 |
| 邁克耳孫(Michelson) | 1881 | 1.2 | 0.04 | 0.02 | ||
| 邁克耳孫(Michelson)和莫雷(Morley) | 1887 | 11.0 | 0.4 | < 0.01 | 8 km/s | |
| 莫雷(Morley)和米勒(Miller) | 1902–1904 | 32.2 | 1.13 | 0.015 | ||
| 米勒(Miller) | 1921 | 32.0 | 1.12 | 0.08 | ||
| 米勒(Miller) | 1923–1924 | 32.0 | 1.12 | 0.03 | ||
| 米勒(Miller,陽光) | 1924 | 32.0 | 1.12 | 0.014 | ||
| 托馬斯查克(Tomascheck,星光) | 1924 | 8.6 | 0.3 | 0.02 | ||
| 米勒(Miller) | 1925–1926 | 32.0 | 1.12 | 0.088 | ||
| 甘迺迪(Kennedy,威爾遜山天文台) | 1926 | 2.0 | 0.07 | 0.002 | ||
| 伊林渥斯(Illingworth) | 1927 | 2.0 | 0.07 | 0.0002 | 0.0006 | 1 km/s |
| 皮卡德(Piccard)和斯塔赫爾(Stahel) (Rigi) | 1927 | 2.8 | 0.13 | 0.006 | ||
| 邁克耳孫(Michelson)et al. | 1929 | 25.9 | 0.9 | 0.01 | ||
| 瓊斯(Joos) | 1930 | 21.0 | 0.75 | 0.002 |
近代版的邁克耳孫-莫雷實驗變得司空見慣。雷射和激微波通過讓光線在充滿高能原子的精心調整的空間內來回反射,以放大光線。這樣的有效長度可達千米。還有一個好處,同一光源在不同光線角度產生同樣的相位,給干涉計增加了額外精確度。
第一個這樣的實驗是由查爾斯·H·湯斯(Charles H. Townes)做的,第一個激微波製作者之一。他們1958年的實驗把漂移的上限,包括可能的實驗誤差,降低到僅僅30m/s。在1974年通過三角形內修剪工具精確的雷射重複實驗把這個值降低到0.025m/s,並且在一個光臂上放上玻璃來測試拖拽效果。在1979年Brillet-Hall實驗把人以方向的上限降低到30m/s,但是雙向因素降低到0.000001 m/s (i.e.,靜止或者夾帶以太)。Hils和Hall在經過一年的重複實驗之後,於1990年公布,各向異性的極限降低到2×10。
實驗結果證明,不論地球運動的方向同光的射向一致或相反,測出的光速都相同,在地球同構想的“以太”之間沒有相對運動。當時邁克耳孫因此認為這個結果表明以太是隨著地球運動的。
解釋
喬治·斐茲傑惹(George FitzGerald)在1892年對邁克耳孫-莫雷實驗提出了一種解釋。他指出如果物質是由帶電荷的粒子組成,一根相對於以太靜止的量桿的長度,將完全由量桿粒子間取得的靜電平衡決定,而量桿相對於以太在運動時,量桿就會縮短,因為組成量桿的帶電粒子將會產生磁場,從而改變這些粒子之間的間隔平衡。這一來,邁克耳孫-莫雷實驗所使用的儀器,當它指向地球運動的方向時就會縮短,而縮短的程度正好抵消光速的減慢。
有些人曾經試行測量喬治·斐茲傑惹的縮短值,但都沒有成功。這類實驗表明喬治·斐茲傑惹的縮短,在一個運動體系內是不能被處在這個運動體系內的觀察者測量到的,所以他們無法判斷他們體系內的絕對速度,光學的定律和各種電磁現象是不受絕對速度的影響的。再者,動系中的短縮,乃是所有物體皆短縮,而動系中的人,是無法測量到自己短縮值的。
1905年,愛因斯坦在拋棄以太、以光速不變原理和狹義相對性原理為基本假設的基礎上建立了狹義相對論。狹義相對論認為空間和時間並不相互獨立,而是一個統一的四維時空整體,並不存在絕對的空間和時間。在狹義相對論中,整個時空仍然是平直的、各向同性的和各點同性的。結合狹義相對性原理和上述時空的性質,也可以推導出洛倫茲變換。
里茨在1908年構想光速是依賴於光源的速度的,企圖以此解釋邁克耳孫-莫雷實驗。但是德·希特於1931年在萊頓大學指出,如果是這樣的話,那么一對相互環繞運動的星體將會出現表觀上的異常運動,而這種現象並沒有觀察到。由此也證明了愛因斯坦提出的光速和不受光源速度和觀察者的影響是正確的,而且既然沒有一種靜止的以太傳播光波振動,牛頓關於光速可以增加的看法就必須拋棄。
有人認為,愛因斯坦在提出狹義相對論的過程中,曾經受到過邁克耳孫-莫雷實驗結果的影響。John Stachel在《愛因斯坦和以太漂移實驗》一文中指出,有間接的有力證據表明,愛因斯坦在1889年一定知道邁克耳孫-莫雷實驗,並從1889~1901年間,持續感興趣於設計光學實驗,以檢查地球穿行於以太的假定運動。
愛因斯坦在1922年,在《我是怎樣創造了相對論》中說道:“那時我想用某種方法演示地球相對以太的運動……,在給自己提出這一問題時,我沒有懷疑過以太的存在和地球的運動。於是,我預料如果把光源發出的光線用鏡子反射,則當它的傳播方向是平行或反平行於地球的運動方向時,應該具有不同的能量。所以我提出使用兩個熱電偶,利用測量它們所生熱量的差值,來證實這一點。”
再驗證
1893年洛奇在倫敦發現,光通過兩塊快速轉動的巨大鋼盤時,速度並不改變,表明鋼盤並不把以太帶著轉。對恆星光行差的觀測也顯示以太並不隨著地球轉動。
人們在不同地點、不同時間多次重複了邁克耳孫-莫雷實驗,並且套用各種手段對實驗結果進行驗證,精度不斷提高。除光學方法外,還有使用其他技術進行的類似實驗。如1958年利用微波激射所做的實驗得到地球相對以太的速度上限是3×10^(-2)km/s,1970年利用穆斯堡爾效應所做的實驗得到此速度的上限只有5×10^(-5)km/s。綜合各種實驗結果,人們基本可以判定地球不存在相對以太的運動。
參閱
邁克耳孫干涉儀
移動中的磁鐵與導體問題
狹義相對論史(history of special relativity)
