簡介
邁克耳孫測星干涉儀(Michelson stellar interferometer)是最早被提出並建造的天文干涉儀之一,它的概念首先由美國物理學家阿爾伯特·邁克耳孫和法國物理學家阿曼德·斐索在1890年提出,而邁克耳孫和美國天文學家弗朗西斯·皮斯於1920年在威爾遜山天文台使用它首次測量了恆星的角直徑。 在此之前,恆星尺寸(角直徑)的測量是天文學上的一大難題,這是由於傳統光學天文望遠鏡的角解析度受到物鏡口徑的限制,即使是人類能製造的最大的天文望遠鏡,其角解析度也大約只有10弧度秒的量級,無法達到測量普通恆星所需的解析度。邁克耳孫測星干涉儀利用干涉條紋的可見度隨擴展光源的線度增加而下降的原理,將恆星看作一個平面非相干光源,從而可以很巧妙地測量恆星的角直徑。
歷史
最初設計的邁克耳孫測星干涉儀的長度約為6米,架設在口徑為2.5米的胡克望遠鏡之上。其中兩面平面鏡M、M的最大間距為6.1米,並且是可調的;而平面鏡M、M的位置是固定的,等於1.14米。當有星光入射到干涉儀上時,兩組平面鏡所構成的光路是等光程的,從而會形成等間距的干涉直條紋,而條紋間距為
邁克耳孫測星干涉儀
邁克耳孫測星干涉儀
邁克耳孫測星干涉儀
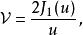
邁克耳孫測星干涉儀這裡 是望遠鏡的焦距, 是平面鏡M和M之間的距離。而平面鏡M和M之間的距離相當於擴展光源的線度,當M和M靠得很近時干涉條紋的襯比度接近於1,隨著兩者間距增加襯比度會逐漸下降為零。如果認為恆星是一個角直徑為 ,光強均勻分布的圓形光源,其可見度由下面公式給出
邁克耳孫測星干涉儀
邁克耳孫測星干涉儀
邁克耳孫測星干涉儀
邁克耳孫測星干涉儀其中 , 是貝塞爾函式。隨著逐漸增加平面鏡M和M之間的距離 ,當滿足下面關係時,襯比度首次降為零:
邁克耳孫測星干涉儀邁克耳孫測星干涉儀首次成功測量的恆星是參宿四,測得其角直徑為0.047弧度秒,根據它到太陽的距離(約600光年)就可得到它的直徑約為4.1×10千米,是太陽直徑的300倍。事實上,這一台邁克耳孫測星干涉儀所能測量的都是直徑在太陽直徑數百倍的巨星,因為測量體積更小的恆星要求更大的M和M之間的距離,架設一台如此龐大的干涉儀對當時的技術而言相當困難。
干涉 (物理學)
干涉(interference)在物理學中,指的是兩列或兩列以上的波在空間中重疊時發生疊加,從而形成新波形的現象。
例如採用分束器將一束單色光束分成兩束後,再讓它們在空間中的某個區域內重疊,將會發現在重疊區域內的光強並不是均勻分布的:其明暗程度隨其在空間中位置的不同而變化,最亮的地方超過了原先兩束光的光強之和,而最暗的地方光強有可能為零,這種光強的重新分布被稱作“干涉條紋”。在歷史上,干涉現象及其相關實驗是證明光的波動性的重要依據,但光的這種干涉性質直到十九世紀初才逐漸被人們發現,主要原因是相干光源的不易獲得。
為了獲得可以觀測到可見光干涉的相干光源,人們發明製造了各種產生相干光的光學器件以及干涉儀,這些干涉儀在當時都具有非常高的測量精度:阿爾伯特·邁克耳孫就藉助邁克耳孫干涉儀完成了著名的邁克耳孫-莫雷實驗,得到了以太風觀測的零結果。邁克耳孫也利用此干涉儀測得標準米尺的精確長度,並因此獲得了1907年的諾貝爾物理學獎。而在二十世紀六十年代之後,雷射這一高強度相干光源的發明使光學干涉測量技術得到了前所未有的廣泛套用,在各種精密測量中都能見到雷射干涉儀的身影。現在人們知道,兩束電磁波的干涉是彼此振動的電場強度矢量疊加的結果,而由於光的波粒二象性,光的干涉也是光子自身的幾率幅疊加的結果。
參見
•干涉

