簡介
在照相機中,調整光圈時由可變光圈(葉片組)在鏡頭中央產生的圓孔直徑。如圖中央部分的圓孔的直徑叫通光孔徑。
通光孔徑照相機光圈的檔位設計是相鄰的兩檔的數值相差1.4倍(2的平方根1.414的近似值)相鄰的兩檔之間,透光孔直徑相差根號2倍,通光孔徑的面積相差一倍, 底片上形成的影像的亮度相差一倍,維持相同曝光量所需要的時間相差一倍。
光圈F值越小,通光孔徑越大(如下圖所示),在同一單位時間內的進光量便越多,而且上一級的進光量剛好是下一級的兩倍。例如光圈從F8調整到F5.6 ,進光量便多一倍,我們也說光圈開大了一級。F5.6的通光量是F8的兩倍。同理,F2是F8光通量的16倍,從F8調整到F2,光圈開大了四級。
通光孔徑通光孔徑和光圈直徑的區別
可以認為通光孔徑是等效光圈直徑。原因很簡單,光圈通常都是五邊形,六邊形,八邊形,九邊形的,這樣的話算直徑就會誤差很大,因為它們都不是正圓。所以都用通光口徑,其實通光孔徑就是等效的了光圈直徑。
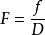
通光孔徑光圈,又叫鏡頭的相對孔徑,光圈(相對孔徑) ,式中:f為焦距,D為鏡頭的有效直徑光圈;f值=鏡頭的焦距/鏡頭口徑的直徑;相對孔徑的倒數=光圈係數。比如,某鏡頭焦距是50mm 光圈4,一般寫作f/4,其光圈開度是50/4=12.5mm。
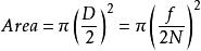
通光孔徑面積
透鏡捕獲的光量與孔徑的面積成正比,等於:
通光孔徑其中兩個等效形式通過f數N = f / D相關,焦距f和孔徑D。
當比較相同焦距的兩個鏡頭時,不需要焦距值,可以代替使用值1,其他因素也可以下降,使區域與f數N的倒數平方成比例。
如果兩個不同尺寸和焦距的相機具有相同的視角,並且具有相同的光圈面積,則它們從場景中收集相同量的光。在這種情況下,相對焦平面照度僅取決於f數N,所以相機中格式越大,焦距越長,f值越高,相機越小。 這假設兩個透鏡具有相同的透射率。
簡單的測定方法
從鏡頭前面稍離開些距離看鏡頭的通光孔大小(如果有可調光圈,要把光圈開到最大),就可以大致的判斷出該鏡頭的通光孔徑。
光圈
定義
光圈是一個用來控制光線透過鏡頭,進入機身內感光面光量的裝置,它通常是在鏡頭內。表達光圈大小我們是用f值。
對於已經製造好的鏡頭,我們不可能隨意改變鏡頭的直徑,但是我們可以通過在鏡頭內部加入多邊形或者圓形,並且面積可變的孔狀光柵來達到控制鏡頭通光量,這個裝置就叫做光圈。
相機通過兩個參數來控制照射到感光元件上的進光量。其中一個是快門速度,控制著感測器接受光線的時間;另一個就是光圈,控制著單位時間內照射到感測器的光量。光圈是鏡頭上一個可變大小的孔,通過自動或者手動的調節可以改變光孔直徑,從而控制進光量。
計算公式
光圈F值=鏡頭的焦距/鏡頭光圈的直徑
從以上的公式可知要達到相同的光圈F值,長焦距鏡頭的口徑要比短焦距鏡頭的口徑大。
完整的光圈值系列如下:
1/1.0,1/1.4,1/2.0,1/2.8,1/4.0,1/5.6,1/8.0,1/11,1/16,1/22,1/32,1/44,1/64
光圈的檔位設計是相鄰的兩檔的數值相差1.4倍(2的平方根1.414的近似值)相鄰的兩檔之間,透光孔直徑相差根號2倍,透光孔的面積相差一倍, 底片上形成的影像的亮度相差一倍,維持相同曝光量所需要的時間相差一倍。
光圈的作用在於決定鏡頭的進光量,F後面的數值越小,光圈越大,而進光量也就越多;反之,則越小。簡單的說,在快門速度(曝光速度)不變的情況下,光圈F數值越小光圈就越大,進光量越多,畫面比較亮;光圈F數值越大光圈就越小,畫面比較暗。
光圈及快門優先
高端數位相機除了提供全自動(Auto)模式,通常還會有光圈優先(Aperture Priority)、快門優先(Shutter Priority)兩種選項,讓你在某些場合可以先決定某光圈值或某快門值,然後分別搭配適合的快門或光圈,以呈現畫面不同的景深(銳利度)或效果。
光圈優先模式
由我們先自行決定光圈f值後,相機測光系統依當時光線的情形,自動選擇適當的快門速度(可為精確無段式的快門速度)以配合。設有曝光模式轉盤的數位相機,通常都會在轉盤上刻上“ A ”代表光圈先決模式。光圈優先決模式適合於重視景深效果的攝影。
由於數位相機的焦距比傳統相機的焦距短很多,使鏡頭的口徑開度小,故很難產生較窄的景深。有部份數位相機會有一特別的人像曝光模式,利用內置程式與大光圈令前景及後景模糊。
