定義
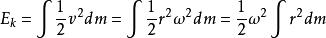
對於一個繞定點轉動的物體,其(轉動)動能為
轉動動能
轉動動能其中 為物體的轉動慣量,於是物體的轉動動能可以記為
轉動動能和質點平動動能的表達式有相似的形式
轉動動能套用
下面我們展示對於剛體,其動能可以分解為質心平動動能和繞質心轉動的轉動動能的加和。
轉動動能
物體因運動而具有的能量稱為動能,轉動動能一般指物體因轉動而具有的能量。 對於一個轉動的輪子,一方面其質心在進行平動,另一方面輪子還在繞著質心轉動,對於這個具體的例子,一般把輪子繞質心轉動的動能稱為轉動動能。
對於一個繞定點轉動的物體,其(轉動)動能為
轉動動能
轉動動能其中 為物體的轉動慣量,於是物體的轉動動能可以記為
轉動動能和質點平動動能的表達式有相似的形式
轉動動能下面我們展示對於剛體,其動能可以分解為質心平動動能和繞質心轉動的轉動動能的加和。
轉動動能動能武器是能發射超高速飛行的具有較高動能的彈頭,利用彈頭的動能直接撞毀目標,可用於戰略反導,反衛星和反太空飛行器,也可於戰術防空,反坦克和戰術反導作戰。如電...
原理 組成 分類 套用物體由於作機械運動而具有的能。
公式定義 公式 推導 說明 動能定理動能回收系統是FIA在F1賽車上使用的一項新技術,英文縮寫KERS.原理是:通過技術手段將車身制動能量存儲起來,並在賽車加速過程中將其作為輔助動力釋放利用。
定義 F1引入 規則限制 優缺點 變速器“光動能”的國際註冊商標為Eco-Drive, 英語全文為Ecology- Drive, 意思是推動和維護生態環境。
光動能,國際註冊商標為Eco-Drive, 英語全文為Ecology- Drive, 意思是推動和維護生態環境。
簡介 品牌 原理 發展 產品介紹heat Earth rotation
除塵器是把粉塵從煙氣中分離出來的設備叫除塵器或除塵設備。除塵器的性能用可處理的氣體量、氣體通過除塵器時的阻力損失和除塵效率來表達。
除塵器分類 除塵器行業標準 除塵器選型需要考慮的因素 新型除塵器Seiko在1988年成功打造的Kinetic人動電能機芯,首創將動能...“綠能環保”的歷程上達到一大躍進。要實行藉由機械錶的自動盤零件,轉動後...,佩戴者能藉由平常手腕擺動使腕錶充電,或者是手動上鏈方式充電,並且配合動能...
轉動譜帶,是由於原子核的變形而產生的特定的譜帶。
