起重索的計算
起重捲筒入端張力的計算
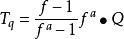
從定滑輪繞出時的起重索捲筒入端張力可由下式計算:
起重索 式中,f——滑輪組的總阻力係數;
a——滑輪組倍率,亦稱滑輪組有效繩數;
k——起重索由定滑輪繞出至起重捲筒的導向滑輪數目;
μ——滑輪組系統省力係數;
Q——計算起重量。
起重索的強度條件
起重索的強度計算只考慮抗拉強度,其條件式為:
起重索
起重索 式中,——鋼索破斷張力;
起重索 ——計算而得到的起重索捲筒入端張力;
起重索 []——起重索許用安全係數≈4~6 。
纜索起重機的穿索方法
(1)第一種裝置法
起重索從起重絞車引出,經過右塔架的滑輪直接連到起重小車,如下圖所示:
第一種裝置法示意圖 (2)第二種裝置法
起重索經過起重小車後,再連線到左面塔架上,如下圖所示 :
第二種裝置法示意圖 索道起重索的設計與計算
起重索 索道起重索的工作結構,基本上都屬於自由端從定滑輪繞出的單式滑輪組的工作結構。所以,索道起重索的設計與計算,主要應以計算起重索進入起重捲筒時的張力 。
起重索 (1)對於沿途只有定滑輪導向的起重索,可如下圖所示,先算出與運載跑車相連,進入第1個導向滑車的張力 ,有
起重索
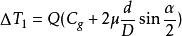
起重索 式中,Q表示起重索的計算起重量, 表示定滑輪的摩擦阻力,且
起重索
起重索
起重索
起重索 式中, 、 、 分別表示起重索的剛性係數、滑輪軸徑中的摩擦係數和鋼絲繩在滑輪上的包角。D、d分別表示滑輪和滑輪軸承的直徑。
起重索的張力
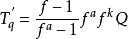
起重索 (2)逐個算出各個導向滑車滑輪繞出端的張力 ,有
起重索
起重索
起重索 式中, 表示起重索在前一個定滑輪上的摩擦阻力,計算方法應與 相同,直到最後一個導向滑車,進入起重索的起重捲筒。
起重索 (3)對於增力式索道,起重索從載重跑車固定滑輪上繞出端的張力 ,見下圖所示,應分別為
起重索 式中,f表示滑輪的阻力係數(滾珠軸承、有青銅襯套滑動軸承和無青銅襯套滑動軸承滑輪的阻力係數分別為1.02、1.04、1.06),a表示滑車組的有效繩數(也是增力滑輪組的總滑輪數) 。
增力滑車組示意圖
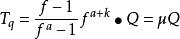
起重索 (4)如下圖所示,如果起重索從跑車固定滑輪上繞出後,又經過了K個導向滑車才進入起重捲筒的進入端的張力 應為
起重索 式中,f表示導向滑車的阻力係數。
起重捲筒的進入端 (5)起重索的安全校核。起重索的安全係數,一般取n=5~6,有
起重索 常用的起重索具
常用的起重索具包括鋼絲繩、化學纖維繩、白棕繩、鏈條鎖具等。

