定義及性質
所有零點都位於復頻率s複平面的左半平面內的實係數多項式稱為赫維茨多項式。
設赫維茨多項式的一般形式為:
赫維茨多項式它具有以下幾個性質:
1、所有係數都是正實數;
2、冪次齊全;
3、當它只有奇部或只有偶部時,其所有的根都共軛地出現在s複平面的jω軸上;
4、滿足模值定理:
Re s>0, | H(s)>H(-s) |
Re s=0, | H(s)=H(-s)|
Re s<0, | H(s)<H(-s) |
赫維茨多項式的判斷準則
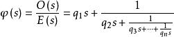
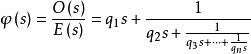
準則1:赫維茨多項式可分解為偶部E(s)和奇部O(s),由奇部和偶部的比值可得電抗函式:
赫維茨多項式式中的商和qi(i=1,…,n)都是正數。
上述公式是採用輾轉相除的方法得到的,如果一個多項式的奇部和偶部的比值能夠不中斷地輾轉除盡,且所得的商都是正數,則此多項式就一定是赫維茨多項式。
準則2:若矩陣
赫維茨多項式為正定矩陣,則以矩陣中的元素作為係數的多項式為赫維茨多項式。

