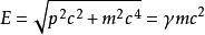
方程式意義
該公式表明物體相對於一個參照系靜止時仍然有能量,這是違反牛頓系統的,因為在牛頓系統中,靜止物體是沒有能量的。這就是為什麼物體的質量被稱為靜止質量。公式中的E可以看成是物體總能量,它與物體總質量(該質量包括靜止質量和運動所帶來的質量)成正比,只有當物體靜止時,它才與物體的(靜止)質量(牛頓系統中的'質量')成正比。這也表明物體的總質量和靜止質量不同。
反過來講,一束光子在真空中傳播,其靜止質量是0,但由於它們有運動能量,因此它們也有質量。
術語的不同
質能轉換公式
質能轉換公式注意:有些術語使用中,質量單指靜止質量,因為總質量和能量是等價的概念。若 指代靜止質量,則公式應改寫為
質能轉換公式而
質能轉換公式
質能轉換公式因此, 也就是總質量的表達式,其中 為洛倫茲因子。
方程的證明
質能轉換公式
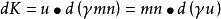
質能轉換公式以一外力 對物體作功,根據功-動能定理,物體的微小動能變化為
質能轉換公式
質能轉換公式
質能轉換公式
質能轉換公式
質能轉換公式
質能轉換公式式中, 為物體的動量 (此處的 為靜止質量),而 為物體的速度 。因此此式可改寫為
根據以下等式(詳見四維速度),
質能轉換公式將等式的兩側取微小量並重新整理,
質能轉換公式
質能轉換公式u
質能轉換公式以此等式代入上方 的關係式得
質能轉換公式
質能轉換公式
質能轉換公式
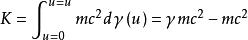
質能轉換公式此即為相對論下的動能表達式,注意式中 僅與四維動量的時間分量相差一比例常數 。若以此定義物體的能量,
質能轉換公式
質能轉換公式
質能轉換公式則 其中 為物體因具有質量而具有的能量,即
質能轉換公式
質能轉換公式
質能轉換公式註:若改以 表示內秉質量, 表示相對論質量,則亦有之關係。
可套用性
質能轉換公式適用於所有有質量的物體,因為它是質量由能量導出的斷言,或者說能量由質量導出的論斷,而兩者可以互相取代。它對運動物體的套用依賴於方程中使用的質量的定義。
通常,該方程用於相對於物體不動的參考點。但是同樣的物體從另外一個參照系來看可以是運動的,所以,對於這個參照系,該方程表示質量是不同的。
從現代物理的觀點來看,這個方程表示物質和能量是同一個概念。
愛因斯坦和他的1905年論文
阿爾伯特·愛因斯坦沒有在他的1905年論文中精確地表述這個方程"Ist die Trägheit eines Körpers von seinem Energieinhalt abhängig?"(“一個物體的慣性依賴於它所包含的能量嗎?”,發表於《物理學年鑑》9月27日),這是他現在被稱為《奇蹟年論文》的文章之一。
該論文所說的確切內容是:‘若一個物體以輻射形式發射能量L,它的質量減少L/c²。’,這個情況下輻射的是動能,而質量是那時候通常所指的質量,也就是今天我們根據情況稱為靜能量或者不變質量。這是在發射能量前後的質量差,它等於L/c²,而不是物體的整個質量。在那時它僅僅是理論上的還未被實驗證明。
其他貢獻
愛因斯坦不是唯一將能量聯繫到質量的人,但他是第一個將這個作為更大的理論的一部分推出的,而且,是根據這個理論的前提所導出的結果。
根據Umberto Bartocci(佩魯賈大學數學史家),該方程早在兩年之前就由Olinto De Pretto發表了,他是一個義大利維琴查的工業家。但是沒有主流史學家認為這個結論是真實的或者是重要的,他們認為即便De Pretto是首位發現該公式的人,但是只有在愛因斯坦真正將它和相對論建立聯繫之後,該公式才真正顯示出價值。

