概念
所謂資金習性,是指資金的變動與產銷量變動之間的依存關係。按照依存關係,資金可以分為不變資金、變動資金和半變動資金。不變資金是指在一定的產銷量範圍內,不受產銷量變化的影響,保持固定不變的那部分資金,包括為維持營業而占用的最低數額的現金,原材料的保險儲備,必要的成品儲備,以及廠房、機器設備等固定資產占用的資金。變動資金是指隨產銷量的變動而同比例變動的那部分資金,包括直接構成產品實體的原材料、外購件等占用的資金,以及最低儲備以外的現金、存貨、應收賬款等。半變動資金指雖然受產銷量變化影響,但不成同比例變動的資金,如一些輔助材料所占用的資金。
形式
資金習性預測法有兩種形式:一種是根據資金占用總額同產銷量的關係來預測資金需要量;另一種是採用先分項後匯總的方式預測資金需要量。
一、根據資金占用總額與產銷量關係來預測
設產銷量為自變數x,資金占用量為因變數y,它們之間的關係可用下式表示: y=a+bx (a為不變資金,b為單位產銷量所需變動資金)
b值可以用高低點法或回歸直線法求得。
1、高低點法
根據企業一定期間資金占用的歷史資料,選用最高收入期和最低收入期的資金占用量之差,同這兩個收入期的銷售額之差進行對比,先求b的值,然後代入原直線方程求出a的值,從而估計推測資金髮展趨勢。計算公式為:
b=(最高收入期資金占用量-最低收入期資金占用量)/(最高銷售收入-最低銷售收入)
a=最高收入期資金占用量-b×最高銷售收入
高低點法在企業的資金變動趨勢比較穩定的情況下較適宜。
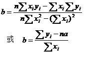
2、回歸直線法
根據若干期業務量和資金占用的歷史資料,運用最小平方法原理計算a=(ΣX^2∑y-ΣxΣy)/(NΣx^2-(Σx)^2)不變資金
a=(NΣxy-ΣxΣy)/(NΣx^2-(Σx)^2)
資金習性預測法從理論上來說,回歸直線法是一種計算結果最為精確的方法。
二、採用先分項後匯總的方法預測
根據資金占用的各具體項目與產銷量之間的關係,把各項目的資金都分成變動和不變動兩部分,然後匯總在一起,求出企業變動資金總額和不變資金總額,進而來預測資金需求量。
採用高低點法預測步驟:
(1)計算a和b
a=最高收入期資金占用量-b×最高銷售收入
或:a =最低收入期資金占用量-b×最低銷售收入
注意:選高低點要以自變數為依據
此處a和b是針對某一項目的不變資金和單位變動資金
(2)建立總資金需求模型y=a+bx
(3)將預測期自變數代入y=a+bx,即可求出預測期的總資金需求。

