計算方法
豎井湧水量的計算,根據不同地下水的類型及成井情況,可按下列公式進行計算:
(一)潛水完整豎井湧水量計算
豎井湧水量式中:q—單位湧水量(m³/s);
V—流速(m/s);
K—滲透係數(m/s),
Q—峒室總湧水量(m/s);
z—峒室通過含水層中的長度(m),
R—影響半徑(m);
H—地下水水位(m);
M—承壓水含水層厚度(m);
h—峒室內水位至隔水底板距離(m)。
用h=H-s帶入上式得
(二)潛水非完整井湧水量計算
按水經井壁及井底同時滲入非完整井的經驗公式計算:
豎井湧水量(三)承壓水中完整豎井湧水量計算
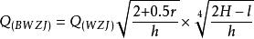
豎井湧水量(四)承壓水非完整豎井湧水量計算
豎井湧水量承壓水非完整井湧水量計算按井壁、井底同時進水的經驗公式進行計算
式中:L—從井底算起的水柱高或過濾器長度(米);
S—水位降深(m);
r一井半徑(m);
其他符號同前。
注意事項
在豎井的施工過程中,為防止出現大量湧水,掘進前,對一些與地面水連通的滲漏通道,應採取措施切斷地面水的補給。在豎井掘進中,根據勘察資料,對可能出現的大湧水量地段進行預測,以便安排排水措施。豎井湧水量可利用豎井部位勘探鑽孔的抽水試驗資料、和選擇邊界條件相似的鑽孔湧水量計算公式求得。
