變頻燃燒器變頻燃燒器採用變頻鼓風機,按負荷自動調節鼓風機的轉速,提供助燃空氣。
工作原理
變頻燃燒器的主要工作原理是控制適量的燃料與空氣混合後在燃燒頭前端燃燒
■大火燃燒:鼓風機高速運轉,提供較大量助燃空氣及高風壓對應高燃燒背壓
■小火燃燒:鼓風機低速運轉,提供較小量助燃空氣及降低鼓風壓適應較低燃燒背壓
具體用途
變頻燃燒器通常用於民用或工業用熱力設備,例如鍋爐、空調機組、熔爐、退火爐及除濕、乾燥、熱處理、定型等..設備。
一般情況,變頻燃燒器只是熱力設備的一套核心裝置。為了滿足熱力設備的使用條件,燃燒器有需要跟隨熱力設備的負荷自動(或人工)調節燃燒器的輸出功率(火力)。燃燒器需具備燃料及助燃空氣流量調節機構。
結構
變頻燃燒器包含下列主要組件:
1. 鼓風裝置:
主要包含鼓風機(由電動機直接或間接驅動)、變頻器、風量調節機構及鼓風確認裝置。
2. 燃料輸送裝置:
2。1 燃油部份:主要包含過濾器、輸油泵、穩壓裝置、加熱系統(只用於高黏度燃料油)、安全切斷閥、流量調節閥、連線管道及壓力計。
2。2 燃氣部份:主要包含過濾器、穩壓裝置、安全切斷閥、氣閥檢漏系統、流量調節閥、連線管道及壓力計。
3. 燃燒頭:
主要包含火焰管、燃油管及霧化噴嘴、燃氣管及燃氣噴嘴、點火電極及穩焰裝置。
4. 自動控制箱:
主要包含燃燒程式控制器及火焰監測(熄火保護)裝置、負荷調節控制器、點火變壓器及繼電器、開關、指示燈等電氣控制元件。
燃燒效率
變頻燃燒器按負荷自動調節鼓風機的轉速,提供適量助燃空氣。在小火燃燒時的風壓能有效地控制在大火的25%~30%範圍,方便把小火的燃燒功率調低,拉寬火力調節比。燃燒器能長時間不斷運行,減小起/停次數,提高熱效率。
註:由於安全原因,燃燒器每次動/停都需要執行燃燒室吹掃,把大量熱能吹出大氣,浪費能源。
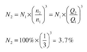
節約用電
燃燒器工作曲線若燃燒器火力調節比為3:1,大火燃燒的助燃空氣量是小火的3倍。
按風機軸功率定律計算:
風機軸功率定律燃燒器功率=Q
Q2/Q1=1/3
N1=100%
N2=3.7%
減排
1. 中國(2010年)火電占所有發電量約80%,發電同時產生碳(CO2)排放,減小用電等於降低碳排放量。
2. 燃料燃燒後主要產生CO2及H2O,提高燃燒效率(減小燃料消耗),等於降低碳排放量。
環保降噪
燃燒器運行噪音主要來自鼓風機,噪音隨著鼓風機轉速降低而減小。
控制技術
主流變頻燃燒控制技術
| 變頻控制方式 | 空/燃比調 | 電子比調 |
| 控制技術 | 機電控制技術 | 電子編程控制技術 |
| 配置 | 單台伺服執行器控制助燃空氣, 採用氣壓式燃料調節及變頻器 | 多台伺服執行器控制助燃空氣、 燃料及變頻器 |
空燃比調變頻燃燒器
電子比調變頻燃燒器