衰變常數

衰變常數

衰變常數(decay constant),表征放射性衰變統計規律的特徵量之一,表示某种放射性核素的一個原子核在單位時間內發生衰變的幾率。


簡介定義

衰變常數衰變常數
衰變常數

計算公式

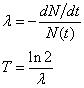
計算公式如圖中1式,其中N(t)代表t時刻的原子核數目,λ代表衰變常數
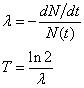
半衰期的換算關係如圖中2式,其中T代表半衰期。

實驗發現,用加壓、加熱、加電磁場、機械運動等物理或化學手段不能改變指數衰減規律,亦不能改變其衰變常數。這表明,放射性衰變是由原子核內部運動規律所決定的。

原子核-內部結構模型圖原子核-內部結構模型圖

相關搜尋

熱門詞條

聯絡我們