理論思考
蠕蟲鏈理論模型假設存在一根連續且具彈性的均質棒狀物。與自由連線鏈不同的是,他們的彈性僅在獨立片段。蠕蟲理論特別適用於較堅硬的聚合物,因為此種聚合物的片段擁有一種協同性,大致上會指向同一個方向。依據此理論,在室溫下,聚合物的構型會圓滑地彎曲;再絕對零度下({\displaystyle T=0}K),ˋ聚合物則會呈現堅硬的棍狀構型。
蠕蟲鏈模型
蠕蟲鏈模型
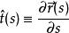
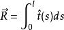
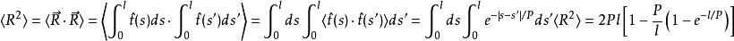
蠕蟲鏈模型對於長度l的聚合物,將聚合物的路徑參數化為。令為該鏈再 s時的單位切線參數,且為該鏈的位置向量。
得出:
蠕蟲鏈模型
蠕蟲鏈模型,且頭尾兩端距離為
由上可推知此模型的方向相關函式(correlation function)遵守指數衰減:
蠕蟲鏈模型P為聚合物的持久長度,即聚合物平均長度的平方:
蠕蟲鏈模型
蠕蟲鏈模型
蠕蟲鏈模型注意當限制條件時,則。此可用於顯示庫恩長度(Kuhn length)等於蠕蟲鏈模型持久長度的兩倍。
展開蠕蟲鏈模型
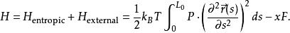
蠕蟲鏈模型在室溫下,聚合物兩端的距離會遠比原長度還短。因為熱波動會造成聚合物蜷曲,使聚合物任意排列。
在拉伸聚合物時,可獲得的波動譜減少,這導致抵抗外部伸長的熵力。 可以通過考慮熵哈密頓量來估計這種熵力:
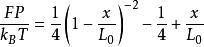
蠕蟲鏈模型諸如原子力顯微鏡(AFM)和光學鑷子的實驗室工具已被用於表征上面列出的聚合物的力依賴性拉伸行為。 近似力擴張行為的插值公式是(J. F. Marko,E。D. Siggia(1995)):
蠕蟲鏈模型其中k是玻爾茲曼常數,T是絕對溫度。
聚合物物理學
高分子物理是研究高分子物質物理性質的科學。其研究的主要方向包括高分子形態,高分子機械性能,高分子溶液,高分子結晶等熱力學和統計力學方向的學科,以及高分子擴散等動力學方面的學科。
生物上的套用
蠕蟲鏈理論套用於一些重要的生物性聚合物,包含:
(1)雙股DNA以及RNA
脫氧核糖核酸(英語: deoxyribonucleic acid,縮寫: DNA)又稱 去氧核糖核酸,是一種生物大分子,可組成遺傳指令,引導生物發育與生命機能運作。主要功能是信息儲存,可比喻為“藍圖”或“配方”。其中包含的指令,是建構細胞內其他的化合物,如蛋白質與核糖核酸所需。帶有蛋白質編碼的DNA片段稱為基因。其他的DNA序列,有些直接以本身構造發揮作用,有些則參與調控遺傳信息的表現。
(2)未結構化RNA
核糖核酸(英語:Ribonucleic acid),簡稱 RNA,是一類由核糖核苷酸通過3',5'-磷酸二酯鍵聚合而成的線性大分子。自然界中的RNA通常是單鏈的,且RNA中最基本的四種鹼基為A(腺嘌呤)、U(尿嘧啶)、G(鳥嘌呤)、C(胞嘧啶),相對的,與RNA同為核酸的DNA通常是雙鏈分子,且含有的含氮鹼基為A(腺嘌呤)、T(胸腺嘧啶)、G(鳥嘌呤)、C(胞嘧啶)四種。
(3)未結構化多肽鏈(蛋白質)
蛋白質(英語:protein,舊稱“朊”)是大型生物分子,或高分子,它由一個或多個由胺基酸殘基組成的長鏈條組成。胺基酸分子呈線性排列,相鄰胺基酸殘基的羧基和氨基通過肽鍵連線在一起。蛋白質的胺基酸序列是由對應基因所編碼。除了遺傳密碼所編碼的20種“標準”胺基酸,在蛋白質中,某些胺基酸殘基還可以被改變原子的排序而發生化學結構的變化,從而對蛋白質進行激活或調控。多個蛋白質可以一起,往往是通過結合在一起形成穩定的蛋白質複合物,發揮某一特定功能。
參見
•Ideal chain
•聚合物
•高分子物理學
