對稱性
鏡像對稱
螺旋函式
螺旋函式1、與互為鏡像對稱.
螺旋函式2、
螺旋函式3、
螺旋函式4、
螺旋函式5、
螺旋函式6、
螺旋函式7、
螺旋函式8、
螺旋函式9、
全對稱
螺旋函式1、
螺旋函式2、
螺旋函式3、
螺旋函式4、
螺旋函式5、
螺旋函式6、
螺旋函式7、
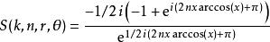
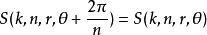
旋轉對稱
螺旋函式級數展開
螺旋函式
螺旋函式與其他特殊函式關係
螺旋函式1、
螺旋函式2、
螺旋函式3、
圖例
螺旋葉數與鏡像對稱
螺旋函式
螺旋函式螺旋葉形
螺旋函式