簡要概述
空間電荷器件主要有虛陰極振盪器、反射三極體(Reflex triode)、Reditron等,不過,人們更多地將它們統稱為虛陰極振盪器,因為其他種類的空間電荷器件也都可以看做是虛陰極振盪器的改進型。
基本結構
虛陰極振盪器的結構十分簡單,它的基本組成部分僅有陰極、陽極和輸出波導(包括輸出窗),圖1-1給出了微波能量軸向輸出和橫向輸出兩種虛陰極振盪器的結構示意圖。
虛陰極振盪器結構簡單,輸出功率大,而且易於調諧,輻射微波的頻譜十分寬,單一的虛陰極振盪器甚至能產生1~2個倍頻程頻譜範圍的微波輻射;而採用不同的可調諧虛陰極振盪器可以連續覆蓋從0.5GHz到10GHz的頻率範圍。虛陰極振盪器也不需要聚焦磁場、質量小,而且能產生us級寬度的微波脈衝。虛陰極振盪器在低阻抗條件下的工作能力使它可以在一些特殊場合下具有優勢,比如可以直接以低阻抗、高儲能的爆磁壓縮發生器作為驅動源產生高功率微波輻射,微波彈就是這種套用的一個典型例子。虛陰極振盪器的缺點是它的效率很低,一般只有1%,輻射微波的模式雜,頻譜太寬,難以做到單模、單頻振盪 。
工作原理
空間電荷限制流
虛陰極振盪器的工作基礎是虛陰極的形成。
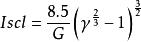
在一般情況下,陰極的發射電流將隨陽極電壓的提高而增加,但由於電子帶有負電荷,在陰極-陽極空間形成負空間電荷,將導致陰-陽極空間各點電位都比無空間電荷時有所下降。當進一步提高陽極電壓,陰極發射電流達到一定程度時,空間電荷密度引起的電位下降可以使陰極表面場強為零,這時如果不考慮陰極發射電子的初速度,則陰極就不可能在繼續發射,或者說,陽極電場與空間電荷場達到平衡,陰極電流也只能維持在一定值上,而不能再增加。如果考慮到陰極發射的電子具有初速度,則在陰極表面零電場時就仍會有電子發射,使進入陰-陽極空間的電子略有增加,空間電位就會進一步下降,以致在空間某個位置會出現負的電位。該負電位在陰極表面產生了一個負電場,它將拒斥具有初速度的電子離開陰極表面繼續進入空間,陰極電流再次達到平衡狀態而不能再增加,陰極發射受到空間電荷限制所能達到的平衡態電流稱為空間電荷限制流。在相對論器件中,電子束做一維運動時,空間電荷限制流I可以這樣來計算,即
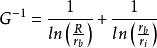
虛陰極振盪器
虛陰極振盪器與陽極電壓的關係見式: ,G為幾何因子,對於在半徑為R圓形漂移管內,平均半徑為r的薄環狀電子注,有
而對於半徑為r的實心電子束,有
如果陰-陽極空間是外半徑R、內半徑r的同軸型區域,那么對於平均半徑為r的薄環狀電子束,有
虛陰極振盪器虛陰極及振盪的形成
當電子束電流達到或略大於空間電荷限制流時,就會使陰-陽極空間形成一個電位為零甚至為負的區域,該區域就稱為虛陰極。由於電子從陰極發射時的初速度是零散的,具有零初速度或初速度較小的一部分陰極發射電子,前進到虛陰極位置時,其能量不足以克服虛陰極的勢阱,就會被反射回來,同時,也會有一部分初速度比較大的電子能越過虛陰極勢阱而繼續向陽極運動;更多的電子則會停留在虛陰極位置。反射電子和透射電子的離開導致虛陰極處空間電荷密度降低,空間電位升高,同時虛陰極位置也向陰極靠攏;虛陰極電位的升高使透射電子增加,將使陰極會有更多電子發射出來補償損失的電子,引起空間電荷增加,虛陰極電位又降低,位置又向陽極偏移;這一變化的結果又引起反射電子的增加…….,如此反覆,虛陰極電位和位置就隨時間不斷變化,形成振盪。由於陰極發射電子的初速度和反射、透射電子的數量都在一定範圍內具有隨機性,因此虛陰極這種電位和位置的變化也是不規則的。
反射電子在陰極和虛陰極之間的來回振盪,以及虛陰極本身的電位和位置的振盪,就會輻射電磁波,而且這種電磁波一般都處在微波波段,這就是虛陰極振盪器產生微波輻射的基本機理。當然,虛陰極振蕩產生的電位波動也會形成對反射電子束和透射電子束的調製,這種調製進一步增強了電子束與高頻場的能量變換。
工作特性
工作頻率
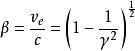
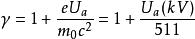
虛陰極振盪器虛陰極振盪的頻率接近相對論電漿頻率,即
虛陰極振盪器
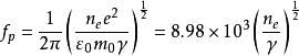
虛陰極振盪器式中,f為相對論電漿頻率,單位為Hz;n為電子束通過陽極時的電子密度, ;e和m為電子電荷和電子靜止質量; 為自由空間介電常數。換算成實用單位制,上式就可以寫成
虛陰極振盪器
虛陰極振盪器
虛陰極振盪器
虛陰極振盪器式中, 單位為GHz,J為電子束面密度,kA/cm; ,v為電子速度。在非相對論情況下, , ,則根據平板二極體3/2次方定律,虛陰極振盪頻率就可以寫成
虛陰極振盪器
虛陰極振盪器而在強相對論情況下,v接近光速c,所以 ,則 ,於是得到
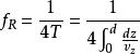
虛陰極振盪器除了虛陰極自身的振盪外,業已指出,被俘獲在陰極和虛陰極之間的勢阱中來回反射的電子會發生群聚,它們的輻射頻率為
虛陰極振盪器式中,T為電子經歷一次反射所需時間,d為陰-陽極間隙。採用實用單位制,則上式成為
虛陰極振盪器
虛陰極振盪器d的單位為cm。
通常f>f ,典型的關係是f∝2f。不過,無論是在非相對論還是在強相對論情況下,振盪頻率與電壓的微弱關係以及與d的反比例關係都在實驗中得到了證實。
頻寬
虛陰極振盪器
虛陰極振盪器在沒有採用諧振腔來固定虛陰極振盪頻率,壓縮其頻譜寬度的情況下,虛陰極振盪器的頻寬主要受電壓的不穩定、陰-陽極間隙中由電漿引起的縮短及電子的橫向能量(橫向能量與虛陰極的振盪輻射不相關)等因素影響。因為虛陰極振盪頻率與電壓和間隙有關,所以頻寬同樣也取決於這兩個量的變化。在非相對論情況下,利用冪級數展開式,由式不難得到
虛陰極振盪器當脈衝功率源二極體中的電漿造成陰-陽極間隙縮短時,就會導致微波頻率在脈衝持續時間中隨著d的不斷減小而逐漸上升,頻率的這種變化使器件沒有時間達到產生微波的最佳狀態,降低了器件的效率和增益。因此,在虛陰極振盪區加上諧振腔以壓縮頻率變化範圍,可以使增益和輸出功率得到明顯改善,而頻寬縮小了2/3。
模式
虛陰極振盪器在普通軸向輸出的虛陰極振盪器中,微波模式以模為主,而且優先模應該在截止頻率附近,在經圓波導喇叭天線輻射,這種結構簡單易行,但TM模實用性不大,且微波頻譜過寬。
如果將軸向提取改成橫向提取,則電子束在過模矩形波導寬邊注入波導並形成虛陰極,因此虛陰極激發的電場垂直於波導寬邊,使得輸出模式成為具有很高純度的模,高次模式的功率小於10%。
改進型虛陰極振盪器
為了克服虛陰極振盪器的一些不足,進一步改善和提高虛陰極振盪器的性能,人們先後對虛陰極振盪器進行了各種改進。
為了清除反射電子的不規則運動及零散給微波輻射帶來的模式雜亂和頻譜過寬,人們提出了Reditron,採用開有環形窄縫的厚陽極來代替原來的金屬泊或柵網陽極,由於反射電子運動方向的不規則,一般都具有徑向速度,這就使得它們不可能通過陽極窄縫再返回陰-陽極空間,而只能打上陽極,反射電子幾乎全部消失,提高了虛陰極的輻射效率。
為了提高虛陰極振盪器的效率,一種稱為反射三極體的方案得到了發展,在該器件中,高壓饋入部分的中心導體成為了陽極,因此它加上的是脈衝正電位,而普通虛陰極振盪器的中心導體是陰極,加的是脈衝負高壓;反射三極體的陰極位於圓波導壁上,使它本身就成為了高頻系統的一部分,在陰-陽極空間就會存在有高頻場,可以對陰極發射的電子束進行調製,從而使器件效率可以提到到超過10%。
圖1-2給出的是Reditron和反射三極體的結構示意圖。
基於同樣的思想,有人提出可以專門將虛陰極振盪器產生的部分高功率微波反饋到二極體區來對電子進行調製,據稱效率可以達到17%,這種器件稱為反饋虛陰極振盪器(Virtode)。
為了使虛陰極振盪器能具有頻率穩定的窄帶輸出,科學家們採取了各種鎖頻鎖相的方法,其中最簡單、實用的就是諧振腔鎖頻,讓虛陰極振盪在諧振腔中激勵微波,得到窄帶、單模輸出。
