簡介
水蒸發吸熱,具有冷卻功能。這種物理現象早為人類所利用,例如在房間內潑點水,可以使室溫有所下降。目前國內常見的蒸發冷卻套用是:冷卻塔的冷卻水,水依靠自身一小部分在空氣中蒸發而被冷卻;紡織廠中要求空氣濕度大,常用噴淋循環水來冷卻空氣(溫度降低、含濕量增加)。蒸發冷卻需要消耗水,但耗量很小,蒸發1kg水大約有2500kJ的冷量。蒸發冷卻存在的問題是,用噴淋循環水來冷卻空氣,導致空氣濕度增大,從而限制了它的套用範圍,但是近代蒸發冷卻技術的發展已經擴展了它的套用範圍。
蒸發冷卻方式
乾熱氣候區(如西北部地區等),夏季空氣的幹球溫度高,含濕量低,其室外乾燥空氣不僅可直接利用來消除空調區的濕負荷,還可以通過間接蒸發冷卻等來消除空調區的熱負荷。在新疆、內蒙古、甘肅、寧夏、青海、西藏等地區,套用蒸發冷卻技術可大量節約空調系統的消耗。
蒸發冷卻分為直接蒸發冷卻(Direct Evaporative Cooling,縮寫為DEC)和間接蒸發冷卻(Indirect Evaporative Cooling,縮寫為IEC)。直接蒸發冷卻是指乾燥空氣和水直接接觸的冷卻過程,空氣處理過程中空氣和水之間的傳熱、傳質同時發生且相互影響,空氣處理過程為絕熱降溫加濕過程,其極限溫度能達到空氣的濕球溫度。
在某些情況下,當對處理空氣有進一步的要求,如要求較低含濕量或比焓時,就應採用間接蒸發冷卻。間接蒸發冷卻可避免傳熱、傳質的相互影響,空氣處理過程為等濕降溫過程,其極限溫度能達到空氣的露點溫度。間接蒸發冷卻又可分為兩類:(1)利用直接蒸發冷卻的二次空氣通過換熱器對一次空氣(被冷卻空氣)進行乾冷卻;(2)利用蒸發冷卻獲得的冷水通過換熱器對空氣進行冷卻。
蒸發冷卻設備
直接蒸發冷卻設備
直接蒸發冷卻設備有噴水室和淋水填料式兩種型式。
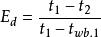
直接蒸發冷卻過程是接近等焓過程。用冷卻效率來評價直接蒸發的換熱效能,冷卻效率Ed的定義為 :
蒸發冷卻(1)
蒸發冷卻
蒸發冷卻間接蒸發冷卻器
間接蒸發冷卻器類似於空氣-空氣換熱器,換熱器換熱面的一側是被冷卻空氣(稱為一次空氣);另一側是蒸發冷卻的空氣(稱二次空氣),在二次空氣通過的同時淋循環水。常用的間接蒸發冷卻器有兩類——板翅式和管式。
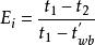
間接蒸發冷卻器換熱效能也用冷卻效率來評價,它定義為 :
蒸發冷卻(2)
蒸發冷卻
蒸發冷卻蒸發冷卻空調系統
全空氣蒸發冷卻空調系統
(1)一級蒸發冷卻系統
我國有一些地區夏季空調室外計算乾、濕球溫度不高,用直接蒸發對室外空氣進行冷卻,冷卻後的狀態可以達到一般舒適性空調的送風要求。
(2)兩級蒸發冷卻系統
室外空氣先經間接冷卻處理後在進行直接蒸發冷卻,以獲得溫度和含濕量均低的送風狀態。
蒸發冷卻(3)三級蒸發冷卻系統
第一級間接蒸發冷卻——室外空氣用冷卻塔的冷水通過空氣冷卻器來冷卻。第二級為間接蒸發冷卻。第三級為直接蒸發冷卻。
空氣-水系統中蒸發冷卻的套用
(1)冷卻新風
(2)製取空調冷水
蒸發冷卻空調適用性分析
Ⅰ區:室外焓值h和含濕量d均小於室內焓值h和含濕量d。適宜採用蒸發冷卻空調。Ⅱ區:h>h,而d<d,蒸發冷卻宜用於空氣-水系統中冷卻新風。Ⅲ區:h>h,d<d。當d靠近d時,蒸發冷卻可用於空氣水系統中冷卻新風;其餘地區只能用間接蒸發冷卻對新風進行預冷,並宜用室內空氣作二次空氣。Ⅳ區:這種氣候條件的地區很少。
蒸發冷卻蒸發冷卻空調的特點
蒸發冷卻空調的主要特點有 :
(1)能耗低。
(2)全空氣蒸發冷卻空調系統是全新風系統。
(3)初投資少,維修保養費低。
(4)受氣候條件的制約,蒸發冷卻的套用場所,系統形式、地區均受到限制。
(5)蒸發冷卻都採用循環水噴淋,容易產生水垢;臨水填料層容易被灰塵所堵塞;集水盤等存水的地方也易滋生微生物。

