基本原理
通過橢圓方程旋轉45°,基礎為平面直角坐標系,不同於笛卡爾 的極坐標系 ;
⑵軸方向取絕對值,成為偶函式;
⑶新的偶函式為閉合心形線 。
推導過程
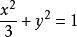
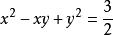
茹茹心形線⑴原始橢圓方程以a=,b=1的參數為例:
茹茹心形線
原始橢圓方程
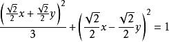
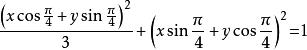
茹茹心形線⑵坐標系變換(逆時針旋轉 ),變換後:
茹茹心形線① ;
茹茹心形線② ;
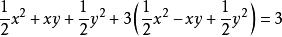
⑶帶入橢圓:
茹茹心形線
茹茹心形線
茹茹心形線
茹茹心形線
茹茹心形線
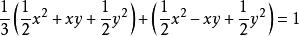
茹茹心形線化簡得:
茹茹心形線
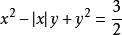
旋轉後的橢圓方程⑷x軸取絕對值得:
茹茹心形線
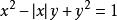
x取絕對值圖形⑸調整原始橢圓係數,可得一系列心形線方程,下圖為單位心形方程:
茹茹心形線
單位RC心形線適用範圍
興趣數學

