方程
范德瓦耳斯方程(又譯范德華方程),簡稱范氏方程,是荷蘭物理學家范德瓦耳斯於1873年提出的一種實際氣體狀態方程。
范氏方程是對理想氣體狀態方程的一種改進,特點在於將被理想氣體模型所忽略的的氣體分子自身大小和分子之間的相互作用力考慮進來,以便更好地描述氣體的巨觀物理性質。
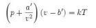
范德瓦爾斯方程p為氣體的壓強
a'為度量分子間引力的唯象參數
b'為單個分子本身包含的體積
v為每個分子平均占有的空間大小(即氣體的體積除以總分子數量);
k為玻爾茲曼常數
T絕對溫度
在第二個方程里
V為總體積
a為度量分子間引力的參數
b為1摩爾分子本身包含的體積之和b=NAb',
R為普適氣體常數
NA為阿伏加德羅常數.
范德瓦爾斯常量
下表列出了部分氣體的a,b的值氣體種類a【kPa(dm³/mol)²】b【dm³】
氦氣(He)3.450.024
氫氣(H2)24.320.027
氮氣(N2)141.860.039
氧氣(O2)137.800.032
二氧化碳(CO2)364.770.043
水蒸氣(H2O)557.290.031
在上述方程中必須嚴格區分總體平均性質和單個分子的性質。譬如,第一個方程中的v是每個分子平均占有空間的大小(可以理解成分子平均“勢力範圍”的大小),而b'則為單個分子本身“包含”的體積(若為單原子分子如稀有氣體,b'就是原子半徑內包含的體積)。
適用範圍
范氏方程對氣-液臨界溫度以上流體性質的描寫優於理想氣體方程。對溫度稍低於臨界溫度的液體和低壓氣體也有較合理的描述。但是,當描述對象處於狀態參量空間(P,V,T)中氣液相變區(即正在發生氣液轉變)時,對於固定的溫度,氣相的壓強恆為所在溫度下的飽和蒸氣壓,即不再隨體積V(嚴格地說應該是單位質量氣體占用的體積,即比容)變化而變化,所以這種情況下范氏方程不再適用。
方程的提出
水分子之間的范氏引力(中國大陸的中學教科書稱為“范德瓦耳斯力”或“范德華力”)一個雙原子分子的排斥體積(圖中黑色的部分)下面以理想氣體狀態方程為基礎,推導范氏方程。若把氣體視為由體積無限小、相互之間無作用力的分子組成,這種模型便是理想氣體模型,與其相對應的狀態方程是:
若拋棄前一個的假設,把組成氣體的分子視為有一定大小的剛性球(其半徑稱為范德瓦爾斯半徑),用b表示這些“球”的體積,上面的方程便改寫為:
在這裡,每個分子的“占有體積”v被所謂“排斥體積”v-b代替,反映了分子在空間中不能重疊。若氣體被壓縮至體積接近分子體積之和(即分子間空隙v-b趨向於0),那么其壓強將趨於無窮大。
下一步,我們考慮原子對之間的引力。引力的存在會使分子的平均亥姆霍茲自由能下降,減少量正比於流體的密度。但壓強的大小滿足熱力學關係
式中A*為每個分子的亥姆霍茲自由能。由此得到,引力使壓強減小的量正比於1/v²。記該比例常數為a,可得
這便是范氏方程。

