概念介紹
(Ai( x)),英文名 airy function。英國英格蘭天文學家、數學家喬治·比德爾·艾里命名的特殊函式,他在1838年研究光學的時候遇到了這個函式。Ai( x)的記法是Harold Jeffreys引進的。Ai( x)與相關函式Bi( x)(也稱為艾里函式),是以下微分方程的解:
y''=xy
這個方程稱為艾里方程或斯托克斯方程。這是最簡單的二階線性微分方程,它有一個轉折點,在這一點函式由周期性的振動轉變為指數增長(或衰減)。
定義
艾里函式圖像對於實數 x,艾里函式由以下的積分定義: Ai(x)=1/π*∫cos(t^3/3+xt) dt (0~+∞)
把:y = Ai(x)求導,我們可以發現它滿足以下的微分方程:
y''=xy
因為這個方程有兩個線性獨立的解,所以,第二個解成為“ 第二艾里函式”。它定義為當 x趨於−∞時,振幅與Ai(x)相等,但相位與Ai(x)相差π/2的函式:
Bi(x)=1/π*∫e^(-t^3/3+xt)+sin(t^3/3+xt) dt (0~+∞)
性質
當 x趨於+∞時,艾里函式的漸近表現為:
Ai(x)~e^(-2/3*x^(3/2))/(2sqr(π)x^(1/4))
Bi(x)~e^(2/3*x^(3/2))/(sqr(π)x^(1/4))
而對於負數方向的極限,則有:
Ai(-x)~sin(2/3*x^(3/2)+π/4)/(sqr(π)x^(1/4))
Bi(-x)~cos(2/3*x^(3/2)+π/4)/(sqr(π)x^(1/4))
自變數複數時
我們可以把艾里函式的定義擴展到整個複平面:
Ai(z)=1/(2πi)*∫e^(t^3/3+zt) dt (C~∞)
其中積分路徑 C從輻角為-(1/3)π的無窮遠處的點開始,在輻角為(1/3)π的無窮遠處的點結束。此外,我們也可以用微分方程 y'' − x y = 0來把Ai( x)和Bi( x)延拓為複平面上的整函式。
以上Ai( x)的漸近公式在複平面上也是正確的,如果取主值為 x^(2/3),且 x不在負的實數軸上。Bi( x)的公式也是正確的,只要 x位於扇形 {x∈C: |arg x| < (1/3)π−δ}內,對於某個正數δ。最後,Ai(− x)和Bi(− x)是正確的,如果 x位於扇形 {x∈C: |arg x| < (2/3)π−δ}內。
從艾里函式的漸近表現可以推出,Ai( x)和Bi( x)在負的實數軸上都有無窮多個零點。Ai( x)在複平面內沒有其它零點,而Bi( x)在扇形 {z∈C: (1/3)π < |arg z| < (1/2)π}內還有無窮多個零點。
函式關係
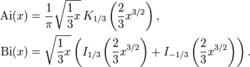
艾里函式與變形貝塞爾函式的關係當自變數是正數時,艾里函式與變形貝塞爾函式之間有以下的關係:-
-
-
-
在這裡, I±1/3和 K1/3是方程 x^2* y'' + x y' − ( x^2 + 1 / 9) y = 0的解。
----
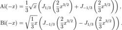
艾里函式與貝塞爾函式的關係當自變數是負數時,艾里函式與貝塞爾函式之間有以下的關係:-
-
-
在這裡, J±1/3是方程 x^2* y'' + x y' + ( x^2 − 1 / 9) y = 0的解。
----
Score函式Scorer函式是 y'' − x y = 1/π的解,它也可以用艾里函式來表示:

