概念
通信信號在採集和傳輸的過程中很容易摻雜各種噪聲和干擾,信號處理的主要任務就是在存在噪聲和干擾的信道環境下確保有用信息正確、有效地傳輸。通常情況下,通信系統所處的信道環境是複雜的、時變的,這就需要系統本身具有很強的自學習、自跟蹤能力,能夠根據環境的變化而動態地調整自身,以保持連續的、可靠的通信鏈路的連線,這就是自適應信號處理的主要目的。
自適應技術的發展與自適應濾波技術的發展是分不開的。20世紀40年代,維納建立了在最小均方誤差準則下的最優濾波理論。維納濾波理論要求輸入信號是平穩的而且輸入信號的統計特性已知。到了60年代,隨著空間技術的發展,卡爾曼建立了適用於非平穩信號處理的卡爾曼濾波理論。無論是維納濾波還是卡爾曼濾波,都需要輸入信號的統計特性的先驗知識,而這些先驗知識是由外界環境決定的,而且往往是未知的、變化的,無法滿足最優濾波的要求,因此人們開始研究自適應濾波。自適應濾波器是一類結構和參數可以改變和調整的系統,是自適應系統中的一類。
自適應系統是一類智慧型的時變系統,這類系統能夠通過與外界環境的接觸來動態地改善自身的信號處理性能。自適應系統是按照以下思想建立的:系統在運行過程中,不斷地檢測系統的狀態、性能、參數等運行指標,並將這些運行指標與期望的指標相比較,比較的結果按照一定的規律來控制改變系統的運行狀態,從而保證系統運行在某種意義下的最優或次優狀態。因此,自適應系統應該具有對系統所處的環境條件進行識別並根據環境條件的變化作出相應判斷的能力;具有依據事先確定的某種最優準則調節系統本身的狀態和參數,使系統達到最佳性能的能力;還應該具有自組織能力。從這種意義上來說,軟體無線電系統是一種自適應系統。
原理
2.1引論
在自適應信號處理的概念和分類的基礎上,下面以閉環自適應系統為例來說明自適應信號處理的基本原理。一個典型的自適應系統模型如圖1所示。圖中的橫向濾波器是一個非遞歸結構的數字濾波器,由M級抽頭延遲單元、各單元的權係數以及累加器構成。對於這種結構的濾波器來說,屬性比較簡單,容易實現不同形式的自適應調整方案。
自適應信號處理[信號處理中引入的最優原則]圖1自適應系統模型
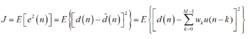
在圖1中,u(n)為濾波器的當前輸入值,d(n)為濾波器的當前輸出值,d(n)為相應的期望回響。為橫向濾波器的抽頭權值。w,w,w,...,w該橫向濾波器對輸入的N個數據u(1),u(2),...,u(i),...,u(N)進行濾波,來估計期望d(1),d(2),...,d(i),...,d(n)信號,濾波器的輸出d(i)為期望回響d(i)的估計。對於濾波器的輸出d(i)有:
(2.116)
因此,估計誤差為:
自適應信號處理[信號處理中引入的最優原則](2.117)
以上公式表述的估計誤差進入性能估計單元,性能估計單元估計出信號的統計特性(一般是機率統計特性或者時間統計特性)。自適應算法模組根據信號的統計特性對橫向濾波器的抽頭係數進行調整。因此,自適應算法是否優越決定了系統是否快速、穩定和高效,對系統的性能具有非常重要的影響。
自適應技術的發展是與自適應濾波理論及算法的研究發展分不開的。1959年,Widrow和Hoff提出的最小均方(LMS)算法對自適應技術的發展起到了很大的作用。由於LMS簡單而且易於實現,因此已經被廣泛使用。並且後人對LMS算法提出了許多改進,包括歸一化LMS算法、塊LMS算法、快速塊LMS算法等。除了LMS算法,另一種重要的算法是LS算法,這種算法最早是在1795年由高斯提出的,由於LS算法運算量大,不能直接在自適應濾波中套用。改進的LS算法利用遞推方式尋求最佳解,大大降低了LS算法的複雜程度,因而獲得廣泛的套用。下面將對這兩種主要算法進行具體介紹。
2.2最小均方誤差(LMS)
最小均方誤差準則是在統計平均的意義下使濾波器輸出與期望回響之間的誤差的平方最小,在平穩的環境下所得的濾波器是統計意義下最優的。在最小均方誤差準則下,橫向濾波器的代價函式為:
自適應信號處理[信號處理中引入的最優原則](2.118)
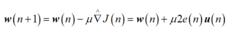
橫向濾波器的代價函式是濾波器抽頭權值的二次函式,函式曲面呈一個碗狀,並且有唯一的最小值點,該點所對應的權值為濾波器的最優權值w(n)。自適應算法的目的就是通過調整權向量,沿著性能曲面搜尋該最小點。LMS算法是一種最速下降的梯度搜尋法,LMS算法採用瞬時梯度估計的方法(直接利用單次採樣數據獲得的e (n)來代替J(n),從而進行梯度估計)根據估計結果來調整權向量,從而找到性能曲面最小點。其疊代公式為:
自適應信號處理[信號處理中引入的最優原則](2.119)
其中,n為疊代次數,u是控制自適應收斂速度和穩定性的收斂參數,w(n)為當前時刻的權向量,w(n+1) 為下一時刻的權向量,▽J(n)=2e(n)u(n)為當前時刻的性能曲面的梯度估計。相應地,實現LMS算法的信號流圖如圖2所示。
自適應信號處理[信號處理中引入的最優原則]圖2LMS算法的信號流圖
從圖2中可以看到,LMS算法的實現不需要平方、平均或者微分運算,使得該算法容易高效實現。因為梯度向量的每個分量是由單個數據樣本得到的,無需擾動權向量,因而梯度估計必然含有一個較大的噪聲成分,自適應過程不會嚴格沿著性能曲面的最陡下降路徑搜尋。因此LMS算法的權向量是以隨機方式變化的,抽頭權向量將圍繞誤差性能表面的最小點隨機遊動。
以上提到的最速下降法已經在工程中實現,被證明是實際套用中一種很有價值的方法。除了最速下降法,還有一種熟知的性能表面搜尋方法,即牛頓法。牛頓法是一種梯度搜尋法,權向量的所有分量在搜尋過程中的每一個疊代周期都發生改變,而且對於二次型的性能表面,每一步梯度調整都是在梯度方向上(即最小點方向上)。與牛頓法相比,最速下降法的權向量在每一個疊代周期中總是在性能表面的負梯度方向上變化,因此權向量改變的方向不一定指向最小值方向。但是牛頓法常常難以在實際系統中套用,這是因為牛頓法“一步到達收斂”顯得太快,大多數實際的自適應系統中,性能表面是未知的,必須基於隨機的輸入數據進行測量或估計。
基本的LMS算法在保證濾波器失調性能時,收斂速度比較慢。為解決該算法的收斂速度問題,人們對該算法提出了一些改進。如歸一化LMS算法採用可變步長的方法,在自適應過程開始時採用較大的步長來實現快速的收斂,然後逐步減小步長來保證收斂結果的失調量較小。再如快速塊LMS算法,這種算法利用了分塊處理技術和權向量調整中的把乘積運算變換到頻域來處理的方法,從而大大減小了計算量,同時也保證了較好的收斂特性。
2.3最小二乘(RLS)
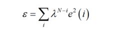
最小二乘準則就是使濾波器輸入與期望回響之間的誤差的平方和最小,是針對一組數據而言的。對比來說,最小均方誤差準則得到的是對具有相同統計特性的一類數據的最佳濾波器,而最小二乘準則得到的是對一組給定數據的最佳濾波器。對同一類數據來說,最小均方誤差準則對不同的數據組將得到同樣的最佳濾波器,而最小二乘準則對不同的數據組將得到不同的最佳濾波器。在最小二乘準則下,橫向濾波器的代價函式為:
自適應信號處理[信號處理中引入的最優原則](2.120)
其中,λ為加權因子,其取值為0<λ≤1,e(i)表示濾波器用N個數據對d(i)進行估計所得的誤差。線性最小二乘準則,就是確定最優的濾波器抽頭權值,這組權值使誤差的平方加權之和ε最小。
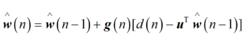
最小二乘準則下典型的自適應算法是遞歸最小二乘算法,該算法是用時刻的抽頭權向量的最小二乘估計來遞推時刻權向量的最新估計。這種算法的收斂速度比一般的LMS算法快一個數量級,但是計算的複雜度比LMS算法高。遞歸最小二乘算法的抽頭權向量的遞推公式為:
自適應信號處理[信號處理中引入的最優原則](2.121)
其中,是時刻的數據向量利用時刻的抽頭權向量對期望回響的先驗估值,是先驗估計誤差;為增益向量[29]。
最小二乘(RLS)算法較最小均方誤差(LMS)算法來說性能有所提高,但是運算量還是很大,因此人們在基本的RLS算法上提出了很多改進算法。如最小二乘快速橫向濾波(FTF)算法,這種算法套用了投影技術和向量空間法,引入橫向濾波運算元並利用運算元的時間更新關係來實現參數更新,採用向量間的疊代取代了RLS算法的相關陣的疊代,從而在保證快速的同時減小了運算量。再如最小二乘格型(LSL)算法,它對時間和階數同時遞推,並結合了LMS算法的高效性和RLS算法的快速收斂性,因此在自適應陣列處理中得到了廣泛的套用。
除了以上介紹的兩種重要的自適應算法及其改進算法外,還有許多其他的自適應算法。如採樣矩陣求逆(SMI)算法(又稱為直接矩陣求逆(DMI)算法),該算法可以實現很高的處理速度,因而在雷達等系統中獲得了廣泛套用。另外,Capon在研究高解析度測向的論文中討論了在保證信號方向增益條件下,使自適應陣輸出方差最小的準則(MVDR),該論文是研究MVDR算法的最早工作之一。
套用
自適應信號處理技術在雷達、通信、聲納、圖像處理、計算機視覺、地震勘探、生物醫學、振動工程等領域有著極其重要的套用。自適應信號處理套用於系統中時,主要有四種形式,分別是自適應系統辨識、自適應系統逆模擬、自適應干擾抵消和自適應系統預測。下面簡單介紹一下這4種套用形式。
3.1自適應系統辨識
1962年Zadeh定義自適應系統辨識如圖3所示,它對已知輸入量的輸出回響進行觀測,在指定一類系統的範圍內確定一個與辨識系統等價的系統。它用自適應濾波器模擬未知系統,調整濾波器的參數,當濾波器的輸出與未知系統的輸出相同時,濾波器和未知系統的輸入—輸出回響呈現相同的特性,從這個意義上說,自適應濾波器可以作為未知系統的模型。自適應系統辨識廣泛套用於自適應控制系統、數字濾波器設計、相干估計等。
自適應信號處理[信號處理中引入的最優原則]圖3自適應系統辨識
3.2自適應系統逆模擬
自適應系統逆模擬是利用自適應濾波器模擬未知系統的逆系統,調整濾波器的參數,使得濾波器傳輸函式是未知系統傳輸函式的倒數,自適應系統逆模擬如圖4所示。信號經過無線信道傳輸後到達接收端,接收機收到的信號可以視為發射波形與信道衝擊回響的卷積,因此,在接收機輸入端多套用自適應均衡濾波器來解信道特性,從而均衡信道,以恢復原始的發射信號。自適應系統逆模擬常用於自適應控制、語音分析、信道均衡、解卷積、數字濾波器設計等,在通信和雷達等領域得到了廣泛的套用。
自適應信號處理[信號處理中引入的最優原則]圖4自適應系統逆模擬
3.3自適應干擾抵消
這種形式將噪聲(與輸入信號中噪聲相關)通過自適應濾波器的輸出結果與原始輸入信號(有用信息和噪聲)進行比較,通過調整濾波器參數,使得輸出是輸入信號中有用信息的最優估計。自適應干擾抵消如圖5所示,它的套用廣泛,如抵消胎兒心電圖中母親的心音、語音干擾對消、電話線中回音抵消、陷波器等。
軟體無線電中的自適應信號處理
1.自適應子信道分配
在多用戶通信中,子信道的分配方法很重要。一個好的子信道分配算法必須具有較高的頻譜利用率,在每個用戶之間保證一定的公平性,並且計算複雜度小。
2.自適應跳頻
傳統的無線電通信都是採用“定頻”(也叫固頻)工作。無線電台工作時,雖然可以適時更換通信頻率,但其變換周期比較長,其載波頻率在一段時間內是固定的。而在現代戰爭通信中,一旦被敵方偵探到使用頻率,就可能被截獲和干擾,因而信息的保密性和抗干擾性較差。跳頻通信於是應運而生。跳頻通信的主要優點是,具有良好的抗干擾性及抗截獲性,能較好地改善多徑衰落,便於和定頻電台兼容。
3.自適應調製與編碼
隨著通信領域諸多關鍵技術的發展,自適應調製與編碼(AMC)技術得到廣泛的研究和套用。自適應調製與編碼是一種根據信道情況自適應改變調製方式及編碼方式的技術,通過利用接收機對信道參數進行估計並且反饋給發射機的方法,使得發射機在時變的信道環境下自適應地選用合適的調製編碼方法。當用戶處於小區中心時,信道條件一般比較好,通常被分配更高階的調製或編碼速率(如64QAM、3/4碼率Turbo碼),從而提高數據吞吐量;而當用戶處於小區邊緣時,通常被分配較低階的調製或編碼速率(如QPSK、1/2碼率Turbo碼),以確保通信中的低誤碼率。在3GPPR5中,AMC技術被用來提供多用戶高速下行數據業務。使用AMC有諸多優點:(1)合理利用信道的特性,提高整個小區的平均數據吞吐量;(2)與傳送功率控制的方法相比,AMC技術能夠減小干擾的變化;(3)AMC可與時域調度相結合,利用終端的快速衰落特點使終端處於低衰落狀態。
4.自適應信道均衡
無線信道是複雜多變的。由於陰影衰落、多徑效應以及都卜勒擴展的影響,使得接收到的信號中可能摻雜了各種信道噪聲,還可能一個碼元的波形擴展到其他碼元周期內而引起了碼間干擾(ISI),從而造成信號失真。均衡是無線通信系統中一項重要技術,目的就是在不加大噪聲的基礎上,補償信道特性的變化,從而減小或者消除碼間干擾。自適應信道均衡器適用於時變特性的信道。信道均衡器不斷跟蹤信道回響隨時間的變化,以調整它的係數,達到減小符號間干擾的目的。
自適應均衡器是在自適應濾波理論基礎上建立起來的。考慮到信道的時變特性和非線性,套用基於某種準則的自適應算法對均衡器參數做相應的調整。從自適應均衡器與接收信號的關係來看,大體上可以將其分為線性均衡器與非線性均衡器。
5.自適應天線
自適應天線系統能夠在感知干擾源並抑制其影響的同時,增強所需接收信號。而且,在此過程中無需關於所需信號和干擾環境的空間先驗信息。
6.自適應頻譜接入技術
眾所周知,無線電頻譜資源十分寶貴,而目前許多頻段分配給了實際使用率較低的系統。自適應頻譜接入技術[42]是在軟體無線電的基礎之上發展起來的一種新型的頻率指配和使用技術。相對於傳統的頻率指配和使用來說,該技術具有更高的利用率和靈活性,從而可以改善無線電頻譜資源匱乏的問題。
7.自適應功率放大
一些處理器件自身就具有自適應的能力,作為成熟的產品,用戶不需要再通過軟體編程來賦予其自適應的特性。在沒有人工干預的情況下,這些“智慧型化”的器件就能自動地檢測周圍環境,並動態地調整自身的工作狀態,以達到適應環境的目的。
自動增益控制電路(AGC,AutomaticGainControl)是自適應信號處理中最簡單、最常見的套用系統,主要用於收音機或電視接收機中。AGC電路按輸入信號的平均強度,反比例地調整接收機的靈敏度,使得接收機能夠適應寬範圍的輸入電平,同時得到一個窄範圍的輸出電平。
圖5自適應干擾抵消
3.4自適應系統預測
這種形式可以用於語音編碼、譜估計、譜線增強、信號白化等方面。自適應系統預測如圖6所示。
自適應信號處理[信號處理中引入的最優原則]圖6自適應系統預測
在軟體無線電中,自適應信號處理的套用[30]非常廣泛。主要表現在:改變波形,從而和其他兼容通信設備進行互通;為傳輸選擇最適合的通信信道或者網路;利用對等組網技術建立網狀網;通過使用頻譜識別來適應射頻環境從而在頻譜的開放區域進行傳輸;改變波形以補償信道衰落;通過和多種無線電裝置進行協作來接收無法被單個無線電裝置探測到的微弱信號;阻塞干擾信號或者使其無效;重新配置剩餘資源,以支持最關鍵的業務等。根據這些套用的自適應性級別的不同,可以將它們分為4個級別,如圖7所示。
自適應信號處理[信號處理中引入的最優原則]圖7SDR中自適應性的層次
最低的功能級別包括濾波器和變換器,比如Kahlman濾波器、有限衝擊回響(FIR)濾波器和快速傅立葉變換(FFT)等。這些低級別的功能單元大多數是SDR基本構件。因此,設計人員可能需要改變一個功能單元(比如FIR)的參數,從而支持可變數據速率信道。組件級的適應性主要用在數字下變頻轉換器(DDC)和數字上變頻轉換器(DUC)上。這些組件必須經常調整以支持不同數據速率和採樣速率的波形。套用層級上的自適應性支持針對特定套用進行的修改。SDR最常見的套用就是波形,比如寬頻網路波形(WNW)。這些波形由各種波形成分構成,設計人員根據任務特徵接入不同的波形。自適應性最高的功能級是服務層。像無線服務、網路識別服務、對等組網甚至抗阻塞服務等,這些服務都要根據需要調用可用的套用,從而適應不斷變化的條件。這些自適應性級別在很多時候是互相依賴的,因為每一層級的自適應性的實現,都依賴於較低層級。
下面以軟體無線電中可以用到的自適應器件或者模組為例,具體介紹自適應信號處理技術在軟體無線電中的套用。
