作用
旋渦形或螺線型是自然事物極為普遍的存在形式,
螺線特別是對數螺線的美學意義可以用指數的形式來表達:
φkρ=αe
其中,α和k為常數,φ是極角,ρ是極徑,e是自然對數的底。為了討論方便,我們把e或由e經過一定變換和複合的形式定義為“自然律”。因此,“自然律”的核心是e.
“自然律”之美
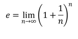
“自然律”是e及由e經過一定變換和複合的形式。e是“自然律”的精髓,在數學上它是函式:
lim(1+1/x)^x
X的X次方,當X趨近無窮時的極限。
人們在研究一些實際問題,如物體的冷卻、細胞的繁殖、放射性元素的衰變時,都要研究
lim(1+1/x)^x
X的X次方,當X趨近無窮時的極限。正是這種從無限變化中獲得的有限,從兩個相反方向發展(當X趨向正無窮大的時,上式的極限等於e= 2.71828……,當X趨向負無窮大時候,上式的結果也等於e=2.71828……)得來的共同形式,充分體現了宇宙的形成、發展及衰亡的最本質的東西。
有人說美在於事物的節奏,“自然律”也具有這種節奏;有人說美是動態的平衡、變化中的永恆,那么“自然律”也同樣是動態的平衡、變化中的永恆;有人說美在於事物的力動結構,那么“自然律”也同樣具有這種結構——如表的遊絲、機械中的彈簧等等。
“自然律”是形式因與動力因的統一,是事物的形象顯現,也是具象和抽象的共同表達。有限的生命植根於無限的自然之中,生命的脈搏無不按照宇宙的旋律自覺地調整著運動和節奏……有機的和無機的,內在的和外在的,社會的和自然的,一切都合而為一。這就是“自然律”揭示的全部美學奧秘嗎?不!“自然律”永遠具有不能窮盡的美學內涵,因為它象徵著廣袤深邃的大自然。正因為如此,它才吸引並且值的人們進行不懈的探索,從而顯示人類不斷進化的本質力量。
![自然指數[數學名詞] 自然指數[數學名詞]](/img/8/032/nBnauM3X4UDM3QDO0UjNxMzM1UTM1QDN5MjM5ADMwAjMwUzL1YzL0UzLt92YucmbvRWdo5Cd0FmLzE2LvoDc0RHa.jpg)
