發展趨勢
環氧樹脂自20世紀40年代後期在工業上獲得套用以來,發展迅速,特別是隨著電子工業的高速發展,近年來,新的高性能環氧樹脂不斷湧現,樹脂改性和固化劑的研究開發亦極為活躍。
一種環氧樹脂要有好的套用與發展前途,必須同時具備兩個條件:首先要有優異的使用性能,其次應有短的合成路線和易得的原料。
由於電子工業的發展,半導體安裝自表面安裝型方向轉變,安裝時的軟焊開裂成為大問題。為此,須開發高耐熱、低吸水性、低膨脹係數、低固化收縮的環氧樹脂。因此,大批新型高性能環氧樹脂被開發出來。它們中許多原料價廉易得,合成路線短,性能優異而引起人們極大興趣,被稱為“明星環氧樹脂”,具有很好的前途。
分類
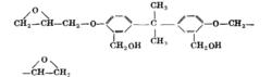
羥甲基化的雙酚A二縮水甘油醚
分子式如下:
分子式合成反應分兩步
第一步,一克分子的雙酚A與二克分子的甲醛(37%的福馬林)在一克分子氫氧化鈉(30%的水溶液)存在下,於20~25℃相互反應生成二羥甲基化的雙酚A單鈉鹽。
分子式第二步,上述的單鈉鹽與過量的環氧氯丙烷及鹼(克分子比1∶5∶1.2)在60~65℃下反應, 即得產物。
反應方程式羥甲基在苯核上的位置有可能不同。得到的環氧樹脂特性如下圖。
環氧樹脂特性該樹脂在160~200℃條件下苯核上的羥甲基就能和環氧基相互反應,自行固化。這個反應在沒有加速劑存在時,一般反應進行的很慢,如果把對甲苯磺酸與三乙醇胺的中性鹽作為加速劑添加到樹脂里,在常溫下它並不改變樹脂的穩定性,但在高溫反應時它卻是一種有效的加速劑。適宜用量為3%,在180℃24小時內固化。
N,N'-二-(對羥基苄基)-乙二胺二縮水甘油醚
結構式如下:
結構式該二縮水甘油醚結構中含有仲胺基,是以過量的環氧氯丙烷與N,N'-二-(對羥基苄基)-乙二胺的鈉鹽反應來製備的。
將樹脂加熱到140~180℃溫度時,最初處於熔融狀態的樹脂就自行固化了。固化物對玻璃、金屬均具有良好的粘合性,富有彈性和耐稀酸作用。
環氧化四氫苯二甲酸酐
結構式:
結構式該環氧化物系以四氫苯二甲酸酐為原料,丙酮作溶劑,用25.4%的過氧化醋酸在40℃40分鐘內進行環氧化而得到的。
產物的純度為98.7%,精製品的熔點℃。用它製成的玻璃鋼,靜彎曲強度為5770~6025公斤/厘米。環氧化四氫苯二甲酸酐也可與雙酚A型環氧樹脂在一起混用。

