脂肪酸甲酯磺酸鹽(MES)
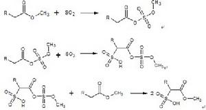
MES(或a—SF)是受當今國內外密切關注的最有發展潛力的廉價高效表面活性劑和鈣皂分散劑,其有優良的去污性、抗硬水性、低刺激性和毒性,表面活性優於烷基磺酸鈉(LAS),是國際上公認的用來替代烷基磺酸鈉的第三代表面活性劑。其合成路徑為先磺化再中和,如下:
首先是磺化反應:

然後再與鹼生成各種鹽,產物為混合物,其中RCH(SO3M)COOCH3為產品,RCH(SO3M)COOM為副產品。
對MES的研究起始與20世紀50年代,80年代的美、日、法有建立萬噸生產基地,我國起步較晚。鄭延成等人從原料廣泛的動植物中提取的直鏈飽和單羧酸(如月桂酸(C12)、肉豆蔻酸(C14)、棕櫚酸(C16)、硬脂酸(C18))為原料合成出了性能好活性高的MES。MES的性質類似於肥皂,由於其不含磷,適應現在對環境的綠色要求,所以它在肥皂粉、鈣皂分散劑、洗滌劑、乳化劑等領域越來越倍受人們關注,同時也將給天然油脂加工增添活力,促進天然油脂深加工發展。MES以其特有的優勢吸引了眾多國內外研究人員從生產工藝技術開發,朱傳勇等用MES取代了部分K12作為牙膏的發泡劑,除外觀改善外並表明符合國家標準。Cohen等人在水溶劑條件下,用SO2、O2和適當波長的紫外照射合成了脂肪酸甲酯磺酸鹽(Phi-MES),其中SO3基團可出現在烷基鏈的任一位置。Phi-MESC16不僅具有很好的去污能力、良好的水解穩定性、優異的抗硬水能力,還表現出了出色的生物相容性,這一點值得關注。在MES的合成中主要產出3種有效成分,韓向麗指出選擇合適的指示劑和滴定條件下,在不進行分離的前提下可採用直接兩相滴定法檢測。
目前國外主要生產商有美國Stepan公司、Huish公司和日本Lion公司等;外資在華企業主要是美國Chemithon公司在中國廣州浪奇實業股份公司建設預計產能要達每年20萬噸的MES的生產基地;國內在無錫、成都、大連、南通等地失敗的基礎上終於由浙江嘉興贊宇科技有限公司與北京紫晶石公司等合作開發,且具有完全自主智慧財產權的6萬噸/年的脂肪酸甲酯磺酸鹽生產線,這將是我國唯一的MES生產線。
以上選自:李科.生物柴油衍生產品與展望[J].2009全國生物質能源大會,2009,271-278.
