簡介
能量震級,是一種地震度量,是地震學中用於表征地震事件的重要基本參數,常用 M表示。能量震級同其他地震規模一樣,是用來表征地震強弱的量度。能量震級與明確定義的震源物理參數,即輻射的地震能量(E)有關。地震以地震波形式輻射的能量主要集中在震源譜的拐角頻率周圍,因此能量震級比矩震級更適合用於描述地震的潛在破壞性。
計算公式
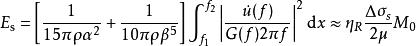
能量震級能量震級與明確定義的物理參數,即輻射的地震能量E有關。由此可推出能量震級的公式為。
能量震級其中,輻射的地震能量的計算公式為
能量震級
能量震級
能量震級
能量震級
能量震級單位為焦耳。其中,α、β和ρ分別代表P波速度、S波速度和震源處介質的密度,、分別代表積分截取的頻率最大值和最小值,代表P波速度譜,代表位移的格林函式譜,f為頻率。
運用
由於地震以地震波形式輻射的能量主要集中在震源譜的拐角頻率周圍,因此能量震級比矩震級更適合用於描述地震的潛在破壞性。由於能量震級是振動破壞潛勢的更好的估計值,因此需研製在發震時刻後短時測定出能量震級的適於實施快速反應系統的程式。能量震級已被多位學者和多個地震監測機構運用。如美國地質勘探局國家地震信息中心會在地震輻射能量速報網頁上,特別通過示例解釋所提供參數中每一個符號的含義,如地震的地理區域、日期和發震時刻、震中經緯度、能量震級、輻射能量、使用的台站數、使用的震源機制類型、震源深度和由合成寬頻位移波形得到的雙力偶震源機制節面。再如中國學者馮浩的地震目錄。
