能量方程
流體微元的內能增量等於通過熱傳導進入微元體的熱量、微元體中產生的熱量及周圍流體對微元體所作功之和。
能量方程
正文
分析計算熱量傳遞過程的基本方程之一,通常表述為:流體微元的內能增量等於通過熱傳導進入微元體的熱量、微元體中產生的熱量及周圍流體對微元體所作功之和。此方程是對非等溫流動系統進行能量衡算所得的數學關係式,即:
(1)
式中ρ為密度;DU/Dτ為內能U對時間τ的隨體導數,表述單位體積流體內能的變化率;DQ/Dτ為周圍流體以熱傳導方式輸入單位體積流體的熱流量;pDV/Dτ為單位體積流體所作的膨脹功率(p為壓力、V為體積);φ為單位體積流體於單位時間內由摩擦使機械能變為內能之值;qi為單位時間單位體積流體產生的熱量(如反應熱)。
對於不可壓縮流體,在無膨脹功、忽略摩擦損耗、無熱量產生等條件下,將熱傳導速率用傅立葉定律表述,則方程式(1)成為:
(2)
式中cp為定壓比熱容(見熱化學數據);λ為熱導率;T為溫度。此式又可寫成:
(3)
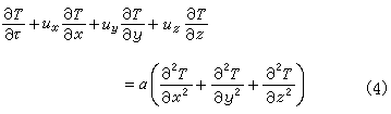
式中α為導溫係數,詳細寫出上式中運算元所包含的各項,可得: 
式中ux、uy和uz為速度分量。如果已知流體速度分布,就可對能量方程用解析法或數值法求解,得到溫度分布。如果流動速度為零,上式即簡化為熱傳導方程:
(5)
配圖
相關連線