物理探源
能量的英文“energy”一字源於希臘語:ἐνέργεια,該字首次出現在公元前4世紀亞里士多德的作品中。伽利略時代已出現了“能量”的思想,但還沒有“能”這一術語。能量概念出自於17世紀萊布尼茨的“活力”想法,定義於一個物體質量和其速度的平方的乘積,相當於今天的動能的兩倍 。為了解釋因摩擦而令速度減緩的現象,萊布尼茨的理論認為熱能是由物體內的組成物質隨機運動所構成,而這種想法和牛頓一致,雖然這種觀念過了一個世紀後才被普遍接受。
能量(Energy)這個詞是托馬斯·楊於1807年在倫敦國王學院講自然哲學時引入的,針對當時的“活力”或“上升力”的觀點,提出用“能量”這個詞表述,並和物體所作的功相聯繫,但未引起重視,人們仍認為不同的運動中蘊藏著不同的力。1831年法國學者科里奧利又引進了力做功的概念,並且在“活力”前加了1/2係數,稱為動能,通過積分給出了功與動能的聯繫。1853年出現了“勢能”,1856年出現了“動能”這些術語。直到能量守恆定律被確認後 ,人們才認識到能量概念的重要意義和實用價值。
物理定義
能量是物質運動轉換的量度,簡稱“能”。世界萬物是不斷運動的,在物質的一切屬性中,運動是最基本的屬性,其他屬性都是運動的具體表現。 能量是表征物理系統做功的本領的量度。
能量[物理學名詞] 對應於物質的各種運動形式,能量也有各種不同的形式,它們可以通過一定的方式互相轉換。在機械運動中表現為物體或體系整體的機械能,如動能、勢能、聲能等。在熱現象中表現為系統的內能,它是系統內各分子無規則運動的動能、分子間相互作用的勢能、原子和原子核內的能量的總和,但不包括系統整體運動的機械能。對於熱運動能(熱能),人們是通過它與機械能的相互轉換而認識的(見熱力學第一定律) 。
空間屬性是物質運動的廣延性體現;時間屬性是物質運動的持續性體現;引力屬性是物質在運動過程由於質量分布不均所引起的相互作用的體現;電磁屬性是帶電粒子在運動和變化過程中的外部表現,等等。物質的運動形式多種多樣,每一個具體的物質運動形式存在相應的能量形式。
巨觀物體的機械運動對應的能量形式是動能;分子運動對應的能量形式是熱能;原子運動對應的能量形式是化學能;帶電粒子的定向運動對應的能量形式是電能;光子運動對應的能量形式是光能,等等。除了這些,還有風能、潮汐能等。當運動形式相同時,物體的運動特性可以採用某些物理量或化學量來描述。物體的機械運動可以用速度、加速度、動量等物理量來描述;電流可以用電流強度、電壓、功率等物理量來描述。但是,如果運動形式不相同,物質的運動特性唯一可以相互描述和比較的物理量就是能量,能量是一切運動著的物質的共同特性。
因此可以對能量作出定義:
能量在古希臘語中意指“活動、操作”,是一個間接觀察的物理量,被視為某一個物理系統對其他的物理系統做功的能力。功被定義為力在物體沿力的方向發生位移的空間積累效應,並且等於力與在力的方向上通過的位移的乘積。
一個物體所含的總能量奠基於其總質量,能量同質量一樣既不會憑空產生,也不會憑空消滅。能量和質量一樣都是標量。在國際單位制(SI)中,能量的單位是焦耳,但有時使用其他單位如千瓦時和千卡,這些也是功的單位。能量是用以衡量所有物質運動規模的統一量度。
A系統可以藉由簡單的物質轉移將能量傳遞到B系統中(因為物質的質量等價於能量)。如果能量不是藉由物質轉移而傳遞能量,而是由其他方式傳遞,會使B系統產生變化,因為A系統對B系統作功。功的效果如同一個力以一定的距離作用在接收能量的系統中。例如,A系統可以經過電磁輻射到B系統,使吸收輻射能量的B系統內部的粒子產生熱運動。一個系統也可以通過碰撞傳遞能量,在這種情況下被碰撞的物體會在一段距離內受力並獲得運動的能量,稱為動能。熱能的傳遞則可以由以上兩個方法產生:熱可以由輻射能轉移能量,或者直接由系統間粒子的碰撞而轉移動能。
能量可以不用表現為物質、動能或是電磁能的方式而儲存在一個系統中。當粒子在與其有相互作用的一個場中移動一段距離(需藉由一個外力來移動),此粒子移動到這個場的新的位置所需的能量便被儲存了。當然粒子必須藉由外力才能保持在新位置上,否則其所處在的場會藉由推或者是拉的方式讓粒子回到原來的狀態。這種藉由粒子在力場中改變位置而儲存的能量就稱為位能(勢能)。一個簡單的例子就是在重力場中往上提升一個物體到某一高度所需要做的功就是位能(勢能)。
任何形式的能量可以轉換成另一種形式。舉例來說,當物體在力場中自由移動到不同的位置時,位能可以轉化成動能。當能量是屬於非熱能的形式時,它轉化成其他種類的能量的效率可以很高甚至是完美的轉換,包括電力或者新的物質粒子的產生。然而如果是熱能的話,則在轉換成另一種形態時,就如同熱力學第二定律所描述的,總會有轉換效率的限制。
在所有能量轉換的過程中,總能量保持不變,原因在於總系統的能量是在各系統間做能量的轉移,當從某個系統間損失能量,必定會有另一個系統得到這損失的能量,導致失去和獲得達成平衡,所以總能量不改變。這個能量守恆定律,是在19世紀初提出,並套用於任何一個孤立系統。根據諾特定理,能量守恆是由於物理定律不會隨時間而改變所得到的自然結果。
雖然一個系統的總能量,不會隨時間改變,但其能量的值,可能會因為參考系而有所不同。例如一個坐在飛機里的乘客,相對於飛機其動能為零;但是相對於地球來說,動能卻不為零,也不能以單獨動量去與地球相比較。
能量形式
力學中的能
能量[物理學名詞]
能量[物理學名詞]
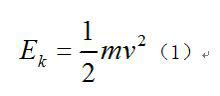
能量[物理學名詞] 動能是物體由於作機械運動而具有的能,質量為 的物體以速率 運動時,它的動能 為:
能量[物理學名詞]
能量[物理學名詞] 動能的概念最早是G.W.萊布尼茲提出的;他稱之為法力,定義為 ,正好是現用的動能定義的兩倍。
根據動能定理,運動的物體如受到阻礙而減速直到停止以前,物體就會對障礙物做功。所作的功的量等於物體原有動能的量。因此可以說,動能是物體由於運動而具有的做功能力。例如高速飛行的槍彈具有動能,所以打到鋼板上能對鋼扳做功而穿入;捶到鍛件上的鐵錘具有動能,所以能對鍛件做功而使它變形。
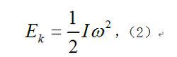
能量[物理學名詞] 以角速度 繞固定軸轉動的剛體,其動能為:
能量[物理學名詞] 式中I為剛體對轉動軸線的轉動慣量。剛體作平面運動時,其動能為:
能量[物理學名詞]
能量[物理學名詞]
能量[物理學名詞]
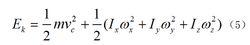
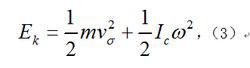
能量[物理學名詞] 式中m為剛體的質量, 為質心的速度, 為剛體對質心軸的轉動慣量, 為剛體的角速度。上式可以解釋為:剛體作平面運動時的動能等於剛體以質心速度平動時的動能與剛體相對於質心軸轉動的動能之和。
剛體繞固定點轉動時的動能為:
能量[物理學名詞]
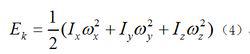
能量[物理學名詞] 剛體作最一般運動的情況下,其動能為:
能量[物理學名詞]
能量[物理學名詞] 勢能
勢能是指物體(或系統)由於位置或位形而具有的能。例如,舉到髙處的打樁機重錘具有勢能,故下落時能使它的動能增加並對外界做功,把樁打入土中;張開的弓具有勢能,故在釋放能時對箭做功,將它射向目標。
能量[物理學名詞] 物體(或系統)的勢能,只能對選定的初始位形來計算。物體在某特定位形的勢能在數量上等於將物體從初始位形沒有加速度地改變到此位形時,外界克服物體抗力所作的功,也就是物體抗力在此過程中所作的功取負值。設物體受到力 F的作用,則行微位移 dr的元功為 F·dr。如取0點為零勢能位置,則物體在M點時所具有的勢能 為:
能量[物理學名詞] 還要指出,作用於系統的力必須是像重力、彈性力那樣的可以恢復的力,即在系統位形變化的一個循環中,力的功等於零,列式如下:
能量[物理學名詞] 滿足以上條件的力稱為保守力。這樣,系統的勢能只取決於初始和終了的位置或位形,而與變化過程中的途徑無關。故式(6)中的積分路線可以取從 O點到 M點的任意曲線。非保守力(如摩擦力)不存在勢能。下面是一般力學中常見的三種勢能:
重力勢能
重力是保守力。質量為 m的物體,所受到的重力是 mg( g=9.80665米/秒是重力加速度)。如果把地面選作零勢能位置,則物體在髙度處所具有的重力勢能為:
能量[物理學名詞]
能量[物理學名詞] 更嚴格地說,這是物體與地球組成的系統所具有的勢能(圖1)
引力勢能
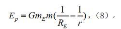
物體離地球中心的距離r很大時,必須考慮到地心引力隨距離的變化(圖2)。質量為 m的物體所受地心引力大小是
能量[物理學名詞] 式中
能量[物理學名詞] 是地球的質量; G=6.673×10米/(千克·秒),是引力常數。由式(6)可以算出其勢能為:
能量[物理學名詞]
能量[物理學名詞] 式中 =6.371×10米,是地球半徑。零勢能位置仍取在地球表面。
能量[物理學名詞]
能量[物理學名詞] 任何兩個物體之間的萬有引力也有引力勢能,例如質量為 m和 m的兩個可視為質點的星體的引力勢能為
能量[物理學名詞] 其中 r為兩星體間的距離。
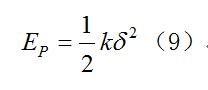
彈性力勢能
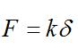
能量[物理學名詞] 彈簧變形時,作用於外界的彈性力大小F與變形 成正比,
能量[物理學名詞] (胡克定律), k是彈簧剛度(圖3)。彈性力也是保守力。如取彈簧未變形時的自然狀態作為零勢能位形,則由式(6)算出它變形時的勢能為:
能量[物理學名詞] 化學能
物質發生化學變化(化學反應)時釋放或吸收的能量。如乾電池和蓄電池的放電是化學能轉變成電能;給電池充電則是電能轉變成化學能 。其本質是原子的外層電子變動,導致電子結合能改變而放出的能量。正負電子對湮沒成光子,就是電子的靜能轉換成光子的能量 。
熱能
物質內部原子分子熱運動的動能,溫度愈高的物質所包含的熱能愈大。熱機是膨脹的水蒸氣把它的熱能變成了熱機的動能 。
電能
正負電荷之間由於電力作用所具有的(電)勢能,可以用電場強度表達出來。真空中的電能密度(單位體積內的電能)即電場能量密度 w= E /2;介質中的電能密度 w= E· D/2,式中 D是電位移矢量, E是電場強度。電能的提取就是將電勢能變成帶電粒子的動能,如導體中的電流或加速器中的荷電粒子束。磁能是指磁場能,磁能密度 w= H· B/2,式中 H是磁場強度, B是磁感應強度。電能密度與磁能密度之和為電磁能密度(電磁場能量密度) w=( E· D+ H· B)/2 。
輻射能
指光和電磁波的能量(光子的能量) 。
核能
原子核核心子的結合能,它可以在原子核裂變或聚變反應中釋放出來變成反應產物的動能 。根據狹義相對論,物體的質量 m和能量 E之間存在著質能關係 E= mс ( с為真空中的光速)。因此,當物體靜止時也具有能量。物質的能量、質量這二者是密切相關的。原子核的質量比組成它的核子的總質量小,即自由核子結合成原子核時有能量釋放出來,這能量稱為原子核的結合能。比結合能(原子核中平均每核子的結合能)低的重核裂變成比結合能高的較輕核,或幾個比結合能低的輕核聚合成一個比結合能高的較重核,所釋放的能量就是原子能 。
能量轉化守恆
人們根據大量實驗確認了能量守恆定律,即不同形式能量之間相互轉換時,其量值守恆。焦耳熱功當量實驗是早期確認能量守恆定律的有名實驗,而後在巨觀領域內建立了能量轉換與守恆的熱力學第一定律。康普頓效應確認能量守恆定律在微觀世界仍然正確,後又逐步認識到能量守恆定律是由時間平移不變性決定的,從而使它成為物理學中的普遍定律(見對稱性和守恆律)。在一個封閉的力學系統中,如果沒有機械能與其他形式能量之間相互轉換時,則機械能守恆。機械能守恆定律是能量守恆定律的一個特例。
應當注意,能量這一概念有其套用範圍,根據廣義相對論,在一定條件下就不再能使用能量這種量度。
在原子物理學、原子核物理學、粒子物理學等領域中常用電子伏(eV)作為單位。理論物理領域,也有用爾格(erg)作為能量單位的 。
狹義相對論中的相對論性力學要比牛頓力學更精確地描寫了物質的力學運動規律。質能關係( E= mc )把慣性質量與能量聯繫起來;因此,相應於靜質量、動質量、相對論質量(總質量)有靜能量(固有能量)、動能、總能量。物質的總能量寫成:
E= ( m c + p c ) = mc = mc /(1- v / c )
式中 m是物體的靜質量, m是相對論質量, c是真空光速, v是物體在慣性系中的運動速度的大小(絕對值), p= mv是物體動量的絕對值。物體的動能 T等於總能量 E減去靜能量( E= m c ):
T= E- E= m c (1/(1- v / c ) -1),約等於 m v/2。
低速近似下(非相對論)的動能成為牛頓力學中的形式。由於質能關係,質量守恆包含在能量守恆之中。
機械能、化學能、熱能、電(磁)能、輻射能、核能等不同類型的能量之間相互轉化的方式多種多樣。例如,最常見的電能(交流電和電池)可以由多種其他形式的能量轉變而來,如機械能–電能的轉變(水力發電)、核能–熱能–機械能–電能的轉變(核能發電)、化學能–電能的轉變(電池)等。不同類型能量之間可以相互轉化 。
概念介紹
能量是物理學的基本概念之一,從經典力學到相對論、量子力學和宇宙學,能量總是一個核心概念。
在一般常用語或科普讀物中能量是指一個系統能夠釋放出來的、或者可以從中獲得的、可以相當於做一定量的功。比如說1千克汽油含12千瓦小時能量,是指假如將1千克的汽油中的化學能全部施放出來的話可以做12KWh的功。
能量是物理學中描寫一個系統或一個過程的物理量。一個系統的能量可以被定義為從一個零能量的狀態轉換為該系統現狀的功的總和。一個系統有多少能量在物理中並不是一個確定的值,它隨著對這個系統的描寫而變換。人體在生命活動過程中,一切生命活動都需要能量,如物質代謝的合成反應、肌肉收縮、腺體分泌等等。而這些能量主要來源於食物。動、植物性食物中所含的營養素可分為五大類:碳水化合物、脂類、蛋白質、礦物質和維生素,加上水為六大類。其中,碳水化合物、脂肪和蛋白質經體內氧化可釋放能量。三者統稱為“產能營養素”或“熱源物質”。
能量守恆定律表明能量不會憑空產生,也不會憑空消失,只能從一種形式轉化為另一種形式,而能的總量保持不變。能量是標量,不是矢量,沒有方向。至於正物質與反物質並不是說質量有正負,而是原子核的電性相反,相遇後質量轉化為能量。任何運動都需要能量。能量的形式有許多種,例如光能、聲能、熱能、電能,機械能、化學能、核能等。舉一個例子,觀察一個質量為1Kg的固體的能量:
在經典力學中,其能量就是從靜止加速到現有速度所作的功的總和。
在經典熱學中,其能量就是從絕對零度加熱現有溫度所作的功的總和。
在物理化學中,其能量就是合成這個固體時對原料加入的功的總和。
在原子物理中,其能量就是從原子能為零的狀態對它做功達到現有狀態的功的總和。
還可以用相反的方法來定義這個固體所含的能量。舉兩個例子:
該固體的內能是將它冷卻到絕對零度所釋放出來的功的總和。
該固體的原子能是將其結合能在原子核裂變或聚變反應中釋放出來變成反應產物的動能。
能量雖然是一個常用和基本的物理概念,同時也是一個抽象的物理概念。事實上,物理學家一直到19世紀中才真正理解能量概念,在此之前常常與力、動量等概念混淆。
人體能量
人體的能量需要量是指機體能長期保持良好的健康狀況,具有良好的體型、機體構成和活動水平的個體,達到能量平衡並能維持從事生產勞動和社會活動所必須的能量攝入量。
人體每天所需能量計算方式。成年人的能量消耗主要用於維持基礎代謝、體力活動和食物特殊動力作用三方面能量消耗需要的總和。對於孕婦應包括子宮、乳房、胎盤、胎兒等的生長發育及母體體脂的儲備,乳母則需要合成和分泌乳汁,嬰幼兒、兒童、青少年則包括生長發育的能量需要,故能量處於平衡狀態。
正常需要量經驗公式:
成年男性:每日能量需要量(KJ)=體重(KG)×192
成年女性:每日能量需要量(KJ)=體重(KG)×167
並按勞動強度不同分別以不同係數加以調整。輕體力勞動、積極活動和劇烈活動的調整係數分別為:0.9、1.17和1.34。
例如70Kg體重輕體力勞動男性,每日能量需要量為:70×192×0.9=12096KJ,折算千卡(Kc)為 2880Kc。
此數值明顯高於中國人能量推薦攝入量(輕體力勞動成年男性為2400Kc)。在能量推薦量還需要進一步下調的今天,國際糧農組織這一算法顯然並不適合中國內地居民的能量需要量估計。
中國營養學會2000年指出,中國居民膳食能量參考攝入量,成年男性輕、中體力勞動者每日需要能量為2400—2700Kc(千卡),女性輕、中體力勞動者每日需要能量為2100—2300Kc(千卡)。嬰兒、兒童和青少年、孕婦和乳母、老年人各自的生理特點不同,能量需要也不盡相同。
能量相關
地球的能量主要來自於太陽。自然界中,同一能量不但可以從一個物體轉移到另一個物體,多種能量之間還可以相互轉化。
能量與自然:分為可再生能源和不可再生能源,化石能源是世界主要能源。
能源與歷史:太陽能是古代唯一利用的能源,太陽能的利用不會產生污染。人類對木材、風力、畜力、水力的利用促進了人類文明的發展。
相關定律
在愛因斯坦的狹義相對論中,能量是四維動量中的一個分量。在任意封閉系統,在任意慣性系觀測時,這個向量的每一個分量(其中一個是能量,另外三個是動量)都會守恆,不隨時間改變,此向量的長度也會守恆(閔可夫斯基模長),向量長度為單一質點的靜止質量,也是由多質量粒子組成系統的不變質量(即不變能量)。
單一質量粒子的相對論能量包括其靜止質量及其動能。若一質量粒子動能為零(或在相對靜止參考系中),或是一個有動能的系統在動量中心繫中,其總能量(包括系統內部的動能)和其靜止質量或不變質量有關,其關係式即為著名的 E= m c 。
因此只要觀測者的參考系沒有改變,狹義相對論中能量對時間的守恆性仍然成立,整個系統的能量仍然不變,位在不同參考系下的觀測者會量測的能量大小不同,但各觀測者量到的能量數值都不會隨時間改變。不變質量由能量-動量關係式所定義,是所有觀測者可以觀測到的系統質量和能量的最小值,不變質量也會守恆,而且各觀測者量測到的數值均相同。
在量子力學中,量子系統的能量由一個稱為哈密頓算符的自伴算符來描述,此算符作用在系統的希爾伯特空間(或是波函式空間)中。若哈密頓算符是非時變的算符,隨著系統變化,其出現機率的測量不隨時間而變化,因此能量的期望值也不會隨時間而變化。量子場論下局域性的能量守恆可以用能量-動量張量運運算元配合諾特定理求得。由於在在量子理論中沒有全域性的時間運算元,時間和能量之間的不確定關係只會在一些特定條件下成立,與位置和動量之間的不確定關係作為量子力學基礎的本質有所不同(見不確定性原理)。在每個固定時間下的能量都可以準確的量測,不會受時間和能量之間的不確定關係影響,因此即使在量子力學中,能量守恆也是一個有清楚定義的概念。
能量守恆定律
能量必須遵守能量守恆定律。根據這個定律,能量只能從一種形式變為另一種形式而無法憑空產生或者是消滅。能量守恆是時間的平移對稱性(平移不變性)得出的數學結論(見諾特定理)。
根據能量守恆定律,流入的能量等於流出的能量加上內能變化。
此定律是物理學中相當基本的判據。依照時間的平移對稱性(平移不變性),物理定律(定理)在任何時間都成立。
能量守恆定律是許多物理定律的特徵。以數學的觀點來看,能量守恆是諾特定理的結果。如果物理系統在時間平移時滿足連續對稱,則其能量(時間的共軛物理量)守恆。相反的,若物理系統在時間平移時無對稱性,則其能量不守恆,但若考慮此系統和另一個系統交換能量,而合成的較大系統不隨時間改變,這個較大系統的能量就會守恆。由於任何時變系統都可以放在一個較大的非時變系統中,因此可以藉由適當的重新定義能量來達到能量的守恆。對於平坦時空下的物理理論,由於量子力學允許短時間內的不守恆(例如正-反粒子對),所以在量子力學中並不遵守能量守恆,而在狹義相對論中能量守恆定律會轉換為質能守恆定律。
質能守恆定律
質能守恆定律是指在一個孤立系統內,所有粒子的相對論動能與靜能之和在相互作用過程中保持不變。質能守恆定律是能量守恆定律的特殊形式。
在狹義相對論中,質能公式 E= m c 描述了質量與能量對應關係。在經典力學中,質量和能量之間是相互獨立的,但在相對論力學中,能量和質量是物體力學性質的兩個方面的同一表征。在相對論中質量被擴展為質量-能量。原來在經典力學中獨立的質量守恆和能量守恆結合成為統一的 質能守恆定律,充分反映了物質和運動的統一性。
能量單位
能量是物質運動的一般量度。物質運動有多種形式,表現各異,但可互相轉換,表明這些運動具有共性,有內在的統一的量度。能量以機械能、內能、電能、化學能等各種形式出現在不同的運動中,並通過作功、傳熱等方式進行轉換。能量的單位有焦耳、爾格、千瓦時、電子伏(特)等。
能量[物理學名詞] 能量在物理中的符號一般是 E,其國際單位是焦耳,符號J,量綱 。除焦爾外常用的還有千瓦時(KWh)和卡(Cal)。
1J= 0.2388C= 0.278×10 KWh
在原子物理和粒子物理中還經常使用電子伏:
1eV= 1.60217653 ×10 J
單位換算
“能”在自然界中有多種存在形式。根據能量守恆定律,能量可以從一種形式轉化為另一種形式。為了計算上的方便,對各種不同存在形式的“能”需要制定一個統一的單位,即焦耳(J)或(Cal)。營養學上所使用的能量單位,多年一直用卡(Cal)或千卡(Kcal)。1Kc指1Kg純水的溫度從15℃升到16℃所需要的能量。國際通用的能量單位是焦耳(J)。1J指用1牛頓(N)力把1Kg物體移動1m所需要的能量。1000KJ=1×10 J。兩種能量單位的換算如下:
1KJ=1000J, 1000KJ=1×10 J
1Kc =4.184KJ, 1KJ =0.239Kc
1000Kc =4.184MJ,1MJ =239Kc
![能量[物理學名詞] 能量[物理學名詞]](/img/9/848/nBnauM3X2UDN1czMyMDNwADO1UTM1QDN5MjM5ADMwAjMwUzLzQzLzEzLt92YucmbvRWdo5Cd0FmLxE2LvoDc0RHa.jpg)
