前言
《中華人民共和國國內貿易行業標準:肉與肉製品中山梨酸的測定(SB/T 10389-2004)》由中華人民共和國商務部提出,由商務部屠宰技術鑑定中心負責起草,中國疾病預防控制中心營養與食品安全所、河北省疾病預防控制中心參加起草。
2016年12月23日,根據國家衛生計生委、食品藥品監管總局發布的《關於發布<食品安全國家標準 鮮(凍)畜、禽產品>(GB 2707-2016)等127項食品安全國家標準的公告》(2016年 第17號),《中華人民共和國國內貿易行業標準:肉與肉製品中山梨酸的測定(SB/T 10389-2004)》被《食品安全國家標準:食品中苯甲酸、山梨酸和糖精鈉的測定(GB 5009.28-2016)》所替代,自2017年6月23日起實施。
適用範圍
本方法適用於食品中苯甲酸、山梨酸和糖精鈉的測定。
原理
樣品經水提取,高脂肪樣品經正己烷脫脂、高蛋白樣品經蛋白沉澱劑沉澱蛋白,採用液相色譜分離、紫外檢測器檢測,外標法定量。
試劑和材料
除非另有說明,本方法所用試劑均為分析純,水為GB/T6682規定的一級水。
試劑
氨水(NH3·H2O)。
亞鐵氰化鉀[K4Fe(CN)6·3H2O]。
乙酸鋅[Zn(CH3COO)2·2H2O]。
無水乙醇(CH3CH2OH)。
正己烷(C6H14)。
甲醇(CH3OH):色譜純。
乙酸銨(CH3COONH4):色譜純。
甲酸(HCOOH):色譜純。
1.氨水(NH3·H2O)。
2.亞鐵氰化鉀[K4Fe(CN)6·3H2O]。
3.乙酸鋅[Zn(CH3COO)2·2H2O]。
4.無水乙醇(CH3CH2OH)。
5.正己烷(C6H14)。
6.甲醇(CH3OH):色譜純。
7.乙酸銨(CH3COONH4):色譜純。
8.甲酸(HCOOH):色譜純。
試劑配製
氨水溶液(1+99):取氨水1mL,加到99mL水中,混勻。
亞鐵氰化鉀溶液(92g/L):稱取106g亞鐵氰化鉀,加入適量水溶解,用水定容至1000mL。
乙酸鋅溶液(183g/L):稱取220g 乙酸鋅溶於少量水中,加入30 mL 冰乙酸,用水定容至1000mL。
乙酸銨溶液(20 mmol/L):稱取1.54g乙酸銨,加入適量水溶解,用水定容至1000 mL,經0.22μm水相微孔濾膜過濾後備用。
甲酸-乙酸銨溶液(2mmol/L甲酸+20mmol/L乙酸銨):稱取1.54g乙酸銨,加入適量水溶解,再加入75.2μL甲酸,用水定容至1000mL,經0.22μm 水相微孔濾膜過濾後備用。
1.氨水溶液(1+99):取氨水1mL,加到99mL水中,混勻。
2.亞鐵氰化鉀溶液(92g/L):稱取106g亞鐵氰化鉀,加入適量水溶解,用水定容至1000mL。
3.乙酸鋅溶液(183g/L):稱取220g 乙酸鋅溶於少量水中,加入30 mL 冰乙酸,用水定容至1000mL。
4.乙酸銨溶液(20 mmol/L):稱取1.54g乙酸銨,加入適量水溶解,用水定容至1000 mL,經0.22μm水相微孔濾膜過濾後備用。
5.甲酸-乙酸銨溶液(2mmol/L甲酸+20mmol/L乙酸銨):稱取1.54g乙酸銨,加入適量水溶解,再加入75.2μL甲酸,用水定容至1000mL,經0.22μm 水相微孔濾膜過濾後備用。
標準品
苯甲酸鈉(C6H5COONa,CAS號:532-32-1),純度≥99.0%;或苯甲酸(C6H5COOH,CAS號:65-85-0),純度≥99.0%,或經國家認證並授予標準物質證書的標準物質。
山梨酸鉀(C6H7KO2,CAS號:590-00-1),純度≥99.0%;或山梨酸(C6H8O2,CAS號:110-44-1),純度≥99.0%,或經國家認證並授予標準物質證書的標準物質。
糖精鈉(C6H4CONNaSO2,CAS號:128-44-9),純度≥99%,或經國家認證並授予標準物質證書的標準物質。
1.苯甲酸鈉(C6H5COONa,CAS號:532-32-1),純度≥99.0%;或苯甲酸(C6H5COOH,CAS號:65-85-0),純度≥99.0%,或經國家認證並授予標準物質證書的標準物質。
2.山梨酸鉀(C6H7KO2,CAS號:590-00-1),純度≥99.0%;或山梨酸(C6H8O2,CAS號:110-44-1),純度≥99.0%,或經國家認證並授予標準物質證書的標準物質。
3.糖精鈉(C6H4CONNaSO2,CAS號:128-44-9),純度≥99%,或經國家認證並授予標準物質證書的標準物質。
標準溶液配製
苯甲酸、山梨酸和糖精鈉(以糖精計)標準儲備溶液(1000mg/L):分別準確稱取苯甲酸鈉、山梨酸鉀和糖精鈉0.118g、0.134g和0.117g(精確到0.0001g),用水溶解並分別定容至100mL。於4℃貯存,保存期為6個月。當使用苯甲酸和山梨酸標準品時,需要用甲醇溶解並定容。
註:糖精鈉含結晶水,使用前需在120℃烘4h,乾燥器中冷卻至室溫後備用。
苯甲酸、山梨酸和糖精鈉(以糖精計)混合標準中間溶液(200mg/L):分別準確吸取苯甲酸、山梨酸和糖精鈉標準儲備溶液各10.0mL於50mL容量瓶中,用水定容。於4℃貯存,保存期為3個月。
苯甲酸、山梨酸和糖精鈉(以糖精計)混合標準系列工作溶液:分別準確吸取苯甲酸、山梨酸和糖精鈉混合標準中間溶液0mL、0.05mL、0.25mL、0.50mL、1.00mL、2.50mL、5.00mL和10.0mL,用水定容至10mL,配製成質量濃度分別為0 mg/L、1.00 mg/L、5.00 mg/L、10.0 mg/L、20.0 mg/L、50.0mg/L、100mg/L和200mg/L的混合標準系列工作溶液。臨用現配。
1.苯甲酸、山梨酸和糖精鈉(以糖精計)標準儲備溶液(1000mg/L):分別準確稱取苯甲酸鈉、山梨酸鉀和糖精鈉0.118g、0.134g和0.117g(精確到0.0001g),用水溶解並分別定容至100mL。於4℃貯存,保存期為6個月。當使用苯甲酸和山梨酸標準品時,需要用甲醇溶解並定容。
註:糖精鈉含結晶水,使用前需在120℃烘4h,乾燥器中冷卻至室溫後備用。
2.苯甲酸、山梨酸和糖精鈉(以糖精計)混合標準中間溶液(200mg/L):分別準確吸取苯甲酸、山梨酸和糖精鈉標準儲備溶液各10.0mL於50mL容量瓶中,用水定容。於4℃貯存,保存期為3個月。
3.苯甲酸、山梨酸和糖精鈉(以糖精計)混合標準系列工作溶液:分別準確吸取苯甲酸、山梨酸和糖精鈉混合標準中間溶液0mL、0.05mL、0.25mL、0.50mL、1.00mL、2.50mL、5.00mL和10.0mL,用水定容至10mL,配製成質量濃度分別為0 mg/L、1.00 mg/L、5.00 mg/L、10.0 mg/L、20.0 mg/L、50.0mg/L、100mg/L和200mg/L的混合標準系列工作溶液。臨用現配。
材料
水相微孔濾膜:0.22μm。
塑膠離心管:50mL。
1.水相微孔濾膜:0.22μm。
2.塑膠離心管:50mL。
儀器和設備
高效液相色譜儀:配紫外檢測器。
分析天平:感量為0.001g和0.0001g。
渦旋振盪器。
離心機:轉速>8000r/min。
勻漿機。
恆溫水浴鍋。
超音波發生器。
1.高效液相色譜儀:配紫外檢測器。
2.分析天平:感量為0.001g和0.0001g。
3.渦旋振盪器。
4.離心機:轉速>8000r/min。
5.勻漿機。
6.恆溫水浴鍋。
7.超音波發生器。
分析步驟
試樣製備
取多個預包裝的飲料、液態奶等均勻樣品直接混合;非均勻的液態、半固態樣品用組織勻漿機勻漿;固體樣品用研磨機充分粉碎並攪拌均勻;乳酪、黃油、朱古力等採用50℃~60℃加熱熔融,並趁熱充分攪拌均勻。取其中的200g裝入玻璃容器中,密封,液體試樣於4℃保存,其他試樣於-18℃保存。
試樣提取
一般性試樣
準確稱取約2g(精確到0.001g)試樣於50mL具塞離心管中,加水約25mL,渦旋混勻,於50℃水浴超聲20min,冷卻至室溫後加亞鐵氰化鉀溶液2mL和乙酸鋅溶液2mL,混勻,於8000r/min離心5min,將水相轉移至50mL容量瓶中,於殘渣中加水20mL,渦旋混勻後超聲5min,於8000r/min離心5min,將水相轉移到同一50mL容量瓶中,並用水定容至刻度,混勻。取適量上清液過0.22μm 濾膜,待液相色譜測定。
註:碳酸飲料、果酒、果汁、蒸餾酒等測定時可以不加蛋白沉澱劑。
含膠基的果凍、糖果等試樣
準確稱取約2g(精確到0.001g)試樣於50mL具塞離心管中,加水約25mL,渦旋混勻,於70℃水浴加熱溶解試樣,於50℃水浴超聲20min,之後的操作同5.2.1。
油脂、朱古力、奶油、油炸食品等高油脂試樣
準確稱取約2g(精確到0.001g)試樣於50mL具塞離心管中,加正己烷10mL,於60℃水浴加熱約5min,並不時輕搖以溶解脂肪,然後加氨水溶液(1+99)25mL,乙醇1mL,渦旋混勻,於50 ℃水浴超聲20min,冷卻至室溫後,加亞鐵氰化鉀溶液2mL和乙酸鋅溶液2mL,混勻,於8000r/min離心5min,棄去有機相,水相轉移至50mL容量瓶中,殘渣同5.2.1再提取一次後測定。
儀器參考條件
色譜柱:C18柱,柱長250mm,內徑4.6mm,粒徑5μm,或等效色譜柱。
流動相:甲醇+乙酸銨溶液=5+95。
流速:1mL/min。
檢測波長:230nm。
進樣量:10μL。
1.色譜柱:C18柱,柱長250mm,內徑4.6mm,粒徑5μm,或等效色譜柱。
2.流動相:甲醇+乙酸銨溶液=5+95。
3.流速:1mL/min。
4.檢測波長:230nm。
5.進樣量:10μL。
註:當存在干擾峰或需要輔助定性時,可以採用加入甲酸的流動相來測定,如流動相:甲醇+甲酸-乙酸銨溶液=8+92,參考色譜圖見圖A.2。
標準曲線的製作
將混合標準系列工作溶液分別注入液相色譜儀中,測定相應的峰面積,以混合標準系列工作溶液的質量濃度為橫坐標,以峰面積為縱坐標,繪製標準曲線。
試樣溶液的測定
將試樣溶液注入液相色譜儀中,得到峰面積,根據標準曲線得到待測液中苯甲酸、山梨酸和糖精鈉(以糖精計)的質量濃度。
分析結果的表述
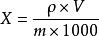
試樣中苯甲酸、山梨酸和糖精鈉(以糖精計)的含量按式(1)計算:
肉與肉製品中山梨酸的測定…………………………(1)
式中:
X ———試樣中待測組分含量,單位為克每千克(g/kg);
ρ ———由標準曲線得出的試樣液中待測物的質量濃度,單位為毫克每升(mg/L);
V ———試樣定容體積,單位為毫升(mL);
m ———試樣質量,單位為克(g);
1000———由mg/kg轉換為g/kg的換算因子。
結果保留3位有效數字。
精密度
在重複性條件下獲得的兩次獨立測定結果的絕對差值不得超過算術平均值的10%。
其他
按取樣量2g,定容50mL時,苯甲酸、山梨酸和糖精鈉(以糖精計)的檢出限均為0.005g/kg,定量限均為0.01g/kg。

