定義
羅吉斯蒂克變換(logistic 變換)也稱羅吉脫變換,羅吉斯蒂克函式
羅吉斯蒂克變換是一種非線性函式,通過一種形加
羅吉斯蒂克變換的數字變換使原函式線性化,成為Z的線性函式,從而可以用最小二乘法進行回歸估計,這種變換稱為羅吉斯蒂克變換 。
logistic變換與logistic回歸
羅吉斯蒂克變換
羅吉斯蒂克變換
羅吉斯蒂克變換
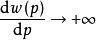
羅吉斯蒂克變換在現實問題中,人們常常要研究某一事件A發生的機率p以及p值的大小與某些因素的關係,但在許多情況下,變數x的變化,使機率在p=0或p=1的附近的變化較緩慢,很少有確定的p=0或p=1出現,於是自然的一個想法是希望尋找一個關於p的函式,要求它在p=0和p=1附近變化幅度較大且的表現形式較簡單,根據這一構想研究者提出用導數在反映在p附近的變化,取
羅吉斯蒂克變換
羅吉斯蒂克變換
羅吉斯蒂克變換
羅吉斯蒂克變換
羅吉斯蒂克變換
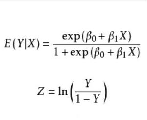
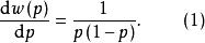
羅吉斯蒂克變換顯然時,;當時,。這說明在p=0、p=1的附近變化幅度較大,用分離變數法解(1)式得到:
羅吉斯蒂克變換反過來看(2)式,實質上是將事件A發生的機率p與不發生的機率1一p相比(稱為機率比)然後取對數。我們就稱(2)式為 Logistic變 換。由(2)式解出:
羅吉斯蒂克變換(3)式與Logistic函式(邏輯斯蒂函式)類似,該函式在研究生物的繁殖及人口估計和預測中有著廣泛的套用。我們分析(3)式可以看到該函式有如下特徵。
(1)無論w變化如何,其因變數p∈(0,1)當p=1和p=0時為(3)式兩條水平漸近線,說明(3)的曲線圖形夾在p=0和p=1兩條漸近線之間。
(2)(3)式所表示的圖形嚴格單調增函式,表明不同的y對事件發生的每個機率各不相同。同時,函式增長的特點先慢,後快,然後再趨向緩慢。大量事實表明,logistic函式的這些特徵與社會生活中的許多現象較相符,它說明用logistic回歸來描述事物發生的機率是可行且合理的。
羅吉斯蒂克變換
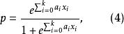
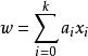
羅吉斯蒂克變換如果w是某些自變數的線性函式,這時(3)式就變為下式:
羅吉斯蒂克變換或者為:
羅吉斯蒂克變換
羅吉斯蒂克變換
羅吉斯蒂克變換
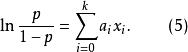
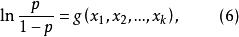
羅吉斯蒂克變換(5)式的右端保留了關於自變數的線性性質,而左端不再是線性回歸中的y,而是隨機變數y,發生機率P(y=1)=p與不發生機率1-p之比的對數。我們把(5)稱為 廣義線性logistic回歸。如果(5)的右邊不是,而是已知函式,其中含有若干待定的參數,使下式(6)成立。
羅吉斯蒂克變換稱(6)為 非線性logistic回歸 。

