介紹
總量指標時間序列是指將同一總量指標的數值按其發生的時間先後順序排列而成的序列。
分類
總量指標時間序列可分為以下兩種序列:
時期序列:
當時間序列中所包含的總量指標都是反映社會經濟現象在某一段時期內發展過程的總量,這種總量標誌時間序列就稱為時期序列。
時點序列:
當時間序列中所包含的總量指標都是反映社會經濟現象在某一瞬間上所達到的水平,這種總量指標時間序列就稱為時點序列。
總量指標時間序列的平均發展水平
時期指標時間序列的平均發展水平:
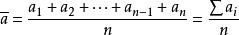
根據時期指標自身的特點,在計算序列平均數時,可採用簡單算術平均法。
總量指標時間序列
總量指標時間序列
總量指標時間序列
總量指標時間序列 式中: 代表序時平均數, 代表各時期發展水平, 代表時期項數
時點指標時間序列的平均發展水平:
時點序列的平均發展水平的計算主要依靠兩個指標,一個是時點序列中兩個時點之間的一般水平,另一個是這兩個時點之間的時間間隔長度。
時點序列中的時點指標都是瞬間資料,有以下兩種情況:
1.所研究的時點指標在兩個時點之間指標沒有發生變化其公式為
總量指標時間序列 2. 所研究的時點指標在兩個時點之間指標值是變化的其公式為
總量指標時間序列 