內容
縱向彈性模數,又稱揚氏模數或彈性模量、彈性模數。即應力與應變之間的關係(應力與應變之比),服從胡克定律呈直線的關係。
相關概念
縱向應變
縱內彈性模數橫向應變
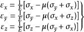
縱內彈性模數引入泊松比,又稱泊松係數μ,它是側向應變(橫向應變)與縱向應變的比值()。μ值一般在0~0.5之間,對於一般鋼材μ≈1/3或0.3,此值可由構件受拉應力σ時,金屬結晶構造的變形於以證明,見圖1。
圖1 金屬原子結晶構造套用廣義胡克定理,可得三向應力應變分量:
縱內彈性模數其他模數
剪下彈性模數
剪下彈性模數G,簡稱剪下模數,它是剪應力τ與剪應變γ之比。
積變模數
積變模數K,又稱體積彈性模數,為平均正應力(靜液壓力)與體積應變之比。
在E、G、K、μ四個參數中,已知任意兩個,就可查表得知另外兩個參數。(見下表)
| E,μ | G,μ | E,G | E,K | G,K | |
| E | E | 2(1+μ)G | E | E | 9KG/(3K+G) |
| G | E/2(1+μ) | G | G | 3EK/(9K-E) | G |
| K | E/3(1-2μ) | 2(1+γ)G/3(1-2γ) | EG/3(G-E) | K | K |
| μ | μ | μ | (E-2G)/2G | (3K-E)/6K | (3K-2G)/3(2K+G) |
