定義及發展
線性調頻與鳥聲信號
線性調頻(LFM)是一種不需要偽隨機編碼序列的擴展頻譜調製技術。因為線性調頻信號占用的頻頻寬度遠大於信息頻寬,所以也可以獲得很大的系統處理增益。線性調頻信號也稱為鳥聲(Chirp)信號,因為其頻譜頻寬落於可聽範圍,聽著像鳥聲,所以又稱Chirp擴展頻譜(CSS)技術。LFM技術在雷達、聲納技術中有廣泛套用,例如,在雷達定位技術中,它可用來增大射頻脈衝寬度、加大通信距離、提高平均發射功率,同時又保持足夠的信號頻譜寬度,不降低雷達的距離解析度。
發展歷史
1962年,M.R.Wiorkler將CSS技術用於通信中,它以同一碼元周期內不同的Chirp速率表達符號信息。研究表明,這種以Chirp速率調製的恆包絡數字調製技術抗干擾能力強,能顯著減少多徑干擾的影響,有效地降低移動通信帶來的快衰落影響,非常適合無線接入的套用。進入21世紀以來,將CSS技術用於擴頻通信的研究發展日益活躍,尤其隨著超寬頻(UWB)技術的發展,將CSS技術與UWB的寬頻低功率譜相結合形成的Chirp-UWB通信,它利用Chirp技術產生超寬頻寬,具備二者優勢,增強了抗干擾與抗噪聲的能力。CSS技術已成為感測網路通信標準IEEE802.15中物理層候選標準。
線性調頻信號的表征與特性
信號表征
LFM信號的瞬時頻率及時域波形
線性調頻
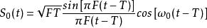
線性調頻線性調頻(LFM)信號是指瞬時頻率隨時間成線性變化的信號。LFM信號的時域表達式可以寫為(設振幅歸一化,初始相位為零):,。從而有對應右圖中圖1的時域波形,如圖2所示。
按照處理增益的定義,信號的高頻頻寬近似等於 F,信息頻寬為1/T,故頻譜擴展帶來的處理增益等於 F/1/T= FT,此即時間頻寬積,通常選用 FT>>1。在信號匹配濾波檢測的分析中可以看到, FT就是匹配濾波器輸出的最大峰值。
信號頻譜特性
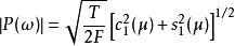
LFM信號的振幅譜與相位譜分布為便於推導與計算,LFM信號的頻譜特性常採用覆信號表示形式。一個時間波形是時間的實函式,而複函數的實部就表示了這個時間波形,套用此結論可推導出LFM信號時間波形的頻譜。LFM信號的振幅譜與相位譜如下:
線性調頻;
線性調頻。
線性調頻
線性調頻當處理增益 FT=50時,與分布如右圖所示。
線性調頻
線性調頻
線性調頻
線性調頻
線性調頻由右圖可以看出,相位譜由兩部分組成,相位譜公式第二項決定的群時延與成直線關係,它是主要部分;而第一項值在頻寬 F內很小,基本上呈均勻分布,稱之為殘餘相角。所以的群時延特性基本為線性。
線性調頻振幅譜在B= F的頻寬內基本是平坦起伏的均勻分布,也即95%的信號能量分布在頻寬B內。
信號檢測特性
LFM信號的匹配濾波輸出波形
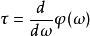
線性調頻對接收的LFM信號的檢測方法有多種,原理上套用匹配濾波器概念進行檢測。LFM信號的匹配濾波輸出波形函式為:,這是主瓣寬度為1 /F,峰值振幅為的壓縮脈衝形式,如右圖所示。顯然,時間頻寬積 FT愈大,也即處理增益越高,檢測效果越好。
LFM信號的匹配濾波特性表明信號有強的自相關特性。分析表明,LFM信號還有好的互相關特性,檢測時對於非匹配濾波器的LFM信號能量將均勻地散落在2T時間間隔之中,這個特性作為通信信號的數據符號識別特別重要。
鳥聲通信信號的產生與檢測
鳥聲通信信號一般形式
鳥聲通信信號的一般形式
線性調頻
線性調頻通信的二元數據也可用LFM信號,常稱為Chirp信號來傳輸。最常用做法是用圍繞著中心頻率的正向和負向頻率斜升變化來代表二元信碼”1”與”0”。隨頻率變化的時頻關係如右圖中圖1所示。
接收端採用兩個相應的匹配濾波器來檢測。這個通信過程可以簡單地如右圖中圖2表示。匹配濾波器輸出是一個峰值功率正比於時間頻寬積 FT的壓縮脈衝,通過取樣判決可以恢復出信碼“1”。代表信碼“0”的負斜率Chirp信號通過對應的負斜率匹配濾波器可得出與正斜率匹配濾波器相同結論的壓縮脈衝,通過取樣判決確定信碼“0”。
鳥聲信號調製
通信用的Chirp信號調製通常分為兩類:二元正交鍵控(BOK)與直接調製(DM)。上節中談到的分別用正負斜率或不同斜率值Chirp信號代表二元數據符號“1”與“0”,就等於BOK調製。這種方式正是簡單地利用了不同斜率Chirp信號脈衝之間的正交性來實現的。
在直接調製中,將Chirp脈衝的展寬和壓縮過程直接看成一種擴頻調製與解調,而與數據調製基本無關。這一概念如同直接序列擴頻調製一樣,只是把擴頻序列換成Chirp脈衝信號。直接調製方式還有利於利用Chirp信號所具有的多維正交性實施Chirp信號的多維調製與多址套用。
Chirp信號的產生方法大致歸結為四種:
(1)直接頻率調製:用紋波控制正、反向線性鋸齒波電壓直接控制壓控振盪器(VCO)來產生正、反斜率的Chirp信號;
(2)CDDS方式:在直接式數字頻率合成CDDS的結構中加入一級頻率累加器就構成了CDDS,可用來產生正向或反向Chirp信號,這是一種數字生成Chirp信號的方法;
(3)正交調製方法:這種產生方式的優點在於I、Q分量產生的靈活性。可以很方便地通過改變I、Q分量實現Chirp信號的直接調製。當然,這種需要混頻調製的方式有可能帶來雜散、諧波與相位噪聲等影響;
(4)聲表面(SAM)色散延遲線方式:這是一種無源Chirp信號產生方法。SAW色散延遲線方式的優點在於套用方便,可靠性高,但是SAW器件存在有20~30dB接入損耗,為得到足夠的輸出Chirp信號幅度,要求驅動衝擊信號幅度很高。
鳥聲信號接受檢測
Chirp信號的接收檢測時經天線接收的信號通過低噪聲放大(LNA)後送入匹配濾波器實現Chirp信號波形壓縮,通過包絡檢波提取壓縮脈衝,再經採樣判決等處理恢復出數據。顯然,Chirp信號的匹配濾波壓縮是關鍵技術。
實現Chirp信號匹配壓縮主要有以下三種方式:
(1)時域數字脈衝壓縮:採用IQ正交雙通道處理,優點在於可以避免接收信號的隨機相位影響;
(2)頻域數字脈衝壓縮:使用流水線工作方式,用批處理方式完成數據採集、FFT、復相乘、IFFT等,這種方式處理速度高,工作穩定,重複性好,具有較大的工作靈活性;
(3)聲表面波色散壓縮線實現方式:可以實現Chirp色散壓縮線的SAW器件主要有兩種方式:叉指器件(IDT)和反射陣壓縮器(RAC),叉指器件換能器結構也有兩種,一是不作加權的線性Chirp換能器,一是採用切指加權的加權線性Chirp換能器。RAC利用溝槽陣列對聲表面波的反射來實現色散,能達到很高的BT,但製造工藝複雜。
套用
線性調頻信號的主要套用:常見的包括聲納、雷達、都卜勒效應。為了能夠測量長距離又保留時間的解析度,雷達需要短時間的脈衝波但是又要持續的發射信號。線性調頻可以同時保留連續信號和脈衝的特性,因此被套用在雷達和聲納探測上。

