簡介
自從人居環境學創建以來,城市規劃學、建築學、地理學、風景園林學等眾多學科對其評價方法進行了諸多研究,查閱已有的研究文獻,學者們較常使用的研究方法包括問卷調查法、線性權重法、層次分析法、德爾菲法等,為獲得更加準確科學的評價結果,學者們多是將多種方法結合起來。線性權重法由於賦權方法不同,又細分為多種方法。由於各種方法的評價原理和對象不同,所以各有特點和適用範圍 。
線性權重法定義
計算公式
線性權重法
線性權重法
線性權重法
線性權重法
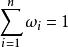
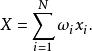
線性權重法其中X便是被評價方案的綜合評價值; 表示各單項評價指標的權重數, , ; 表示各單項指標評價的評價值;n表示評價指標的數量。
線性權重法分類
線性權重法由於賦權方法不同,又細分為多種方法。由於各種方法的評價原理和對象不同,所以各有特點和適用範圍。
1、基於算術平均法的線性權重法
特點:將各指標權重均等化賦值;
優點:計算簡單、便捷;
缺點:不同地區的發展情況不同,無法完全做到一致性。
2、基於德爾菲法的線性權重法
小類: 專家諮詢法、 居民打分法
小類區別:
1)專家諮詢法:專家打分確定了各指標的權重值。
2)居民打分法:根據居民對單項指標的重視度和滿意度賦值。
優點:適用於人居環境的主觀評價;
缺點:受主觀因素的影響較大。
3、基於層次分析法和德爾菲法的線性權重法
特點:定性與定量相結合;
優點:較高的準確性和科學性;
缺點:計算過程繁瑣複雜。
4、基於熵值法的線性權重法
特點:根據各項指標的變異程度確定指標的權重;
優點:客服信息的重疊和賦權的主觀性;
缺點:賦權結果可能與實際不符。
5、主成分分析法
特點:可以將眾多相關關係錯綜複雜的指標歸結為少數幾個綜合指標;
優點:使各主成分相互獨立,捨去重疊的信息,避免重複工作,表明研究對象的特徵;
缺點:可能造成信息的流失,僅適用於有數據的項目 。
線性權重舉例
根據普通供應商的特點,我們重點關注供應商的質量能力和生產能力,選取了需要重點考核的5個具體項目,通過對5個方面的定量評價來確定供應商的得分,權重可以用德爾非法得出,具體指標和權重如表4-1所示。各指標的得分情況見下表1供應商評價的指標及權重,表2 各供應商的統計數據。
| 序號 | 項目名稱(i) | 權重(Ri) |
| 1 | 產品合格率 | 0.3 |
| 2 | 價格水平 | 0.3 |
| 3 | 交貸情況 | 0.2 |
| 4 | 售後服務 | 0.1 |
| 5 | 柔性評價 | 0.1 |
| 總計 | 1 |
| 項目 | 甲公司 | 乙公司 | 丙公司 |
| 產品質量 | 80 | 90 | 90 |
| 價格水平 | 75 | 80 | 90 |
| 交貸情況 | 80 | 85 | 80 |
| 售後服務 | 90 | 80 | 75 |
| 技術績效 | 65 | 70 | 70 |
然後,將供應商的每個評價指標得分與其權重相乘,得出每個供應商的加權綜合得分。
線性權重法
線性權重法
線性權重法
線性權重法——第j個供應商的得分; ——第i個評價指標的權重; ——第j個供應商的第i個指標的得分。
通過計算:
甲公司的得分=0.3×80+0.3×75+0.2×80+0.1×90+0.1×65=74;
乙公司的得分=0.3×90+0.3×80+0.2×85+0.1×80+0.1×70=83;
丙公司的得分=0.3×90+0.3×90+0.2×80+0.1×75+0.1×70=84.5。
甲、乙、丙三公司在日常的供應商評分中比較接近,通過公司以往的評價方法,很難將他們進行排序,而通過線性權重法的分析可以非常清楚地獲得三家公司的優先考慮順序。丙公司由於在權重最高的質量和價格水平的表現最好,所以得分最高,這也是說明對於普通供應商,我們應該採取價格與質量優先的指標體系 。
