定律定義
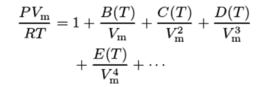
維里方程的一般表達式:
維里狀態方程維里方程也可以用壓力p的冪級數來表示
維里狀態方程其中V是氣體分子的摩爾體積,計算式:V=V/n;BB分別稱為第二、第三維理係數,它們與氣體的種類有關,而且是溫度的函式,在某一溫度下,維理係數為0,實際氣體行為就和理想氣體近似。而且從以上兩式可以看出摩爾體積越大,氣壓越低,則氣體的行為越趨近於理想氣體。當壓力p→0,體積V→∞時,維里方程還原為理想氣體狀態方程。
推導過程
維里狀態方程理想氣體狀態方程的表達式: 引入壓縮因子Z,其大小反映出真實氣體對理想氣體的偏差程度,計算定義是Z等於Vm(真實)除以Vm(理想),Z是一個趨近於1的數字,在後面加入級數來進行修正即得到維里方程。
理論上, 任何氣體的狀態方程, 都可以用維里形式描述:
維里狀態方程維里狀態方程具有清楚的物理意義, 方程中第一項對應理想氣體; 第二項描述了兩個分子的相互作用; 第三項考慮了三個分子的作用, 余此類推. 對於處在高溫、中高壓狀態下的氣體, 多分子同時碰撞相互作用的情況已不可忽略,必須考慮高階維里項. 但是, 隨著維里係數階數的提高, 計算的複雜性迅速增大, 甚至變得極其困難。
適用範圍
維里方程有堅實的理論基礎。用統計力學方法能導出維里係數,並賦予維里係數明確的物理意義:第二維里係數表示氣體兩個分子相互作用的效應,第三維里係數表示三個分子的相互作用,等等。原則上可以從理論上導出各個維里係數的計算式,但實際上高級維里係數的運算是十分困難的,目前除了簡單的鋼球模型外,還只能算到第三維里係數,通常維里係數由實驗測定。
對於液相和汽相,維理狀態方程描述一個 P-V等溫過程更靈活,因為方程有較高次冪的體積、它們比三次狀態方程更精確,普遍化主要是針對烴化合物。因此,對於這些化合物能夠獲得極好的結果,不推薦將它們用於極性化合物。
定律影響
狀態方程是實際氣體熱力計算的基礎,當前常用的狀態方程有B-W-R、M-H、R-K-S、P-R等方程。有的形式複雜,計算繁瑣。有的由於有較強的針對性,在氣體流體區內的計算精度欠佳,在熱力工程套用中常受到一定限制。維里方程具有形式簡明,且有明確的物理意義,但由於維里係數難於處理,在實際套用中,多限於第二維里係數以內。 維里方程在高密度區的精度不高,但由於具有理論基礎,適應性廣,很有發展前途。B-W-R方程、M-H方程都是在它的基礎上改進得到的。

