定義
參見:子式和餘子式、余因子矩陣和轉置矩陣
設R是一個交換環, A是一個以R中元素為係數的n×n的矩陣。A的伴隨矩陣可按如下步驟定義:
•定義:A關於第i行第j列的餘子式(記作M)是去掉A的第i行第j列之後得到的(n− 1)×(n− 1)矩陣的行列式。
•定義:A關於第i行第j列的代數餘子式是:
•定義:A的餘子矩陣是一個n×n的矩陣C,使得其第i行第j列的元素是A關於第i行第j列的代數餘子式。
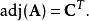
經典伴隨變換引入以上的概念後,可以定義:矩陣 A的 伴隨矩陣是 A的餘子矩陣的 轉置矩陣:
經典伴隨變換也就是說, A的 伴隨矩陣是一個n×n的矩陣(記作adj( A)),使得其第i行第j列的元素是 A關於第j行第i列的 代數餘子式:
經典伴隨變換例子
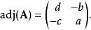
2x2矩陣
經典伴隨變換
經典伴隨變換一個 矩陣 的伴隨矩陣是
經典伴隨變換3x3矩陣
經典伴隨變換對於 的矩陣,情況稍微複雜一點:
其伴隨矩陣是:
經典伴隨變換其中
經典伴隨變換要注意伴隨矩陣是餘子矩陣的轉置,第3行第2列的係數應該是 A關於第2行第3列的代數餘子式。
具體情況
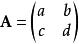
對於數值矩陣,例如求矩陣
經典伴隨變換
經典伴隨變換的伴隨矩陣 ,只需將數值代入上節得到的表達式中。例如 第2行第3列的代數餘子式為
經典伴隨變換因此伴隨矩陣中 第3行第2列的位置上是-6。
計算後的結果是:
經典伴隨變換套用
作為拉普拉斯公式的推論,關於n×n矩陣 A的行列式,有:
經典伴隨變換其中 I是n階的單位矩陣。事實上, Aadj( A)的第i行第i列的係數是
經典伴隨變換。根據拉普拉斯公式,等於 A的行列式。
如果i≠j,那么 Aadj( A)的第i行第j列的係數是
經典伴隨變換。拉普拉斯公式說明這個和等於0(實際上相當於把 A的第j行元素換成第i行元素後求行列式。由於有兩行相同,行列式為0)。
由這個公式可以推出一個重要結論:交換環R上的矩陣 A可逆若且唯若其行列式在環R中可逆。
這是因為如果 A可逆,那么
經典伴隨變換,
如果det( A)是環中的可逆元那么公式(*)表明
經典伴隨變換性質
對n×n的矩陣 A和 B,有:
經典伴隨變換
經典伴隨變換
經典伴隨變換
經典伴隨變換
經典伴隨變換
經典伴隨變換當n>2時,
經典伴隨變換如果 A可逆,那么
如果 A是對稱矩陣,那么其伴隨矩陣也是對稱矩陣;如果 A是反對稱矩陣,那么當n為偶數時, A的伴隨矩陣也是反對稱矩陣,n為奇數時則是對稱矩陣。
如果 A是(半)正定矩陣,那么其伴隨矩陣也是(半)正定矩陣。
經典伴隨變換
經典伴隨變換如果矩陣 A和 B相似,那么 和 也相似。
經典伴隨變換如果n>2,那么非零矩陣 A是正交矩陣若且唯若
伴隨矩陣的秩
當矩陣 A可逆時,它的伴隨矩陣也可逆,因此兩者的秩一樣,都是n。當矩陣 A不可逆時, A的伴隨矩陣的秩通常並不與 A相同。當 A的秩為n-1時,其伴隨矩陣的秩為1,當 A的秩小於n-1時,其伴隨矩陣為零矩陣。
伴隨矩陣的特徵值
經典伴隨變換
經典伴隨變換設矩陣 A在復域中的特徵值為 (即為特徵多項式的n個根),則 A的伴隨矩陣的特徵值為 。
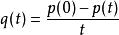
伴隨矩陣和特徵多項式
經典伴隨變換設p(t) = det( A−tI) 為 A的特徵多項式,定義 ,那么:
經典伴隨變換
經典伴隨變換其中 是p(t)的各項係數:
經典伴隨變換伴隨矩陣也在行列式的導數形式中。
