絕緣材料介電性能測試
正文
絕緣材料的介電性能直接關係這些材料在電工設備中的套用,絕緣材料介電性能測試主要包括絕緣電阻率、相對介電常數、介質損耗角正切(見介質損耗)及擊穿電場強度等的測試。測試的結果受很多因素影響,如受環境條件(溫度、濕度、氣壓等)、測試條件(如施加電壓的頻率、波形、電場強度等)、電極與試樣的製備等的影響。因此,必須按有關標準的規定進行測試。絕緣電阻率測試 通常採用三電極系統(圖1)。
可以分別測出體積電阻率ρv和表面電阻率ρs。對於平板試樣 

相對介電常數(εr)測試 相對介電常數通常是通過測量試樣與電極組成的電容、試樣厚度和電極尺寸求得。
套用三電極時,對於平板試樣,由於平板電容Cx的計算公式是
根據實際經驗修正為
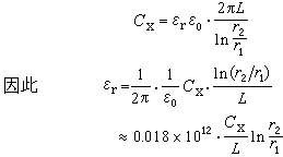
對於管狀試樣,由於圓柱形電容Cx的計算公式是
根據實際經驗修正為


介質損耗角正切(tan δ)的測定 通過測量試樣的等效參數經計算求得。也可在儀器上直讀。在工頻、音頻下一般都用電橋法測量,高電壓時採用西林電橋法(圖2)。
電橋平衡時 

當頻率為幾十千赫到幾百兆赫範圍時,可用集總參數的諧振法進行測量(圖3)。
使頻率和電感保持恆定,在接入試樣和不接試樣時調節調諧電容使電路諧振。若接試樣時C=Cs,不接試樣時C=Cns,則試樣電容的測量結果是 Cx=Cns-Cs
這時可用變Q值法和變電納法計算試樣的tan δx。在變Q值法中是根據接入試樣且迴路諧振時的 Q值(Qi)與不接試樣且迴路諧振時的Q值(Q 0)的變化來計算損耗角正切,即
和不接試樣時相應的寬度△C0的變化來計算損耗角正切,即 
擊穿電場強度測定 絕緣材料的擊穿電場強度以平均擊穿電場強度(EB)表示

工頻下擊穿電場強度的試驗線路如圖5。
R0通過調壓器使電壓從零以一定速率上升,至試樣被擊穿,這時施加於試樣兩端的電壓為擊穿電壓。測擊穿電場強度時,電極需照有關標準的規定。 擊穿電壓可用靜電電壓表、電壓互感器(見互感器)、放電球隙等儀器並聯於試樣兩端直接測出。擊穿電壓很高時,需採用電容分壓器。衝擊電壓下的擊穿電場強度測試,一般用衝擊電壓發生器產生的標準衝擊電壓施加於試樣,逐級升高衝擊電壓的峰值直至擊穿。衝擊電壓可用50%球隙放電法、也可用阻容分壓器加上脈衝示波器或峰值電壓表測量。

