定義
從經驗知道,對於一個封閉的系統,如果除了對其做功外,系統的狀態保持不變,則此系統稱為絕熱系統或絕熱封系統。這一結論不是從熱力學第一、第二定律中推演出來的,因此有人稱它為熱力學第負一定律。因為按熱力學邏輯,它應放在熱力學第零定律前面,正如第零定律應放在第一定律前面一樣,所以稱它為第負一定律。把這一結論稱之為定律也說明它在熱化學和熱力學方面占有很重要的地位。從著名的焦耳定律實驗可以知道絕熱系統的功對應著系統的狀態變化,從而可以導出熱力學第一定律的數學表達式;有了絕熱系統的定義還可以導得重要的熱平衡概念等。
多層反射絕熱系統的分析模式
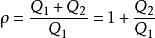
我們已經知道,影響多層鋁箔反射隔熱系統性能的因素較多,要想確立一個包括上述影響因素的分析式是十分困難的。但是,為整理實驗測試數據和比較各種多層系統的性能;為在工程中使用時估計系統的絕熱效果;為了進一步研究多層系統的絕熱機理,建立起多層傳熱量與各影響因素之間的關係式,還是很有必要的。許多研究者在這方面做了大量的工作,其結果可用下列幾個模式概括:
導熱模式
絕熱系統
絕熱系統
絕熱系統
絕熱系統
絕熱系統
絕熱系統將多層系統看成一個結構連續的、性質均勻的固體,用傅立葉導熱定律來聯繫傳熱量與各影響因素間的關係: …… (1-1)式中,I為垂直於多層系統方向上的比熱流(W/ ); 、 為熱、冷邊界面的溫度(K); 為當量導熱係數(W/ );d為多層系統的厚度(m)。
絕熱系統
絕熱系統上式定義了一個當量導熱係數 ,將影響多層系統將影響多層系統絕熱性能的大部分因素都反映在這個係數中。但是,這個當量導熱係數並非代表一個熱物理性質,多層系統也不是連續均勻的固體,因此在計算傳熱量以及不同的多層系統的性能並進行比較而用到 的時候,必須注意求得它的各種條件。
在理想多層系統的情況下,
絕熱系統…… (1-2)
有效傳熱係數模式
這種模式將多層系統的傳熱與對流傳熱相類比,使用牛頓型傳熱公式來反映各種因素與傳熱量之間的關係:
絕熱系統
絕熱系統
絕熱系統…… (1-3) 式中, 為當量傳熱係數(W/ )。
這個式子定義了一個當量熱導,其導數為熱阻R。
有效輻射率模式
它是使用斯忒藩——玻爾茲曼型公式來表示各影響因素與熱流的關係:
絕熱系統
絕熱系統
絕熱系統…… (1-4) 式中, 為斯忒藩——玻爾茲曼常數; 為當量發射率。
絕熱系統對於理想多層系統有: …… (1-5)
式(1-1),(1-3),(1-4)之間有下列關係:
絕熱系統…… (1-6)
絕熱系統式中, 為多層系統的特徵溫度,它可定義為:
絕熱系統…… (1-7)
絕熱系統
絕熱系統從式(1-2)、(1-5)可知,當量導熱係數 反比於n/d;而當量發射率 反比於n。但是在實際系統中,當n/d增加時,接觸導熱有所增加。因此在實際中並不是n/d越大越好,而應根據具體情況選擇。
並聯熱阻模式
絕熱系統
絕熱系統
絕熱系統
絕熱系統
絕熱系統
絕熱系統
絕熱系統
絕熱系統該模式把影響多層系統傳熱的三個主要方面以各自獨立的形式與傳熱量聯繫在一起,而不是模糊地用一個係數表示。影響多層系統傳熱的三個主要方面是:與成正比的層間輻射;與成正比的層間氣體傳導和與T成正比的固體傳導。設兩個相鄰屏K和K+1的表面發射率為和,溫度分別為和,屏間間隔材料的光學厚度為,屏間氣體壓力為,則其傳熱量可表達為:
絕熱系統…… (1-8)
絕熱系統
絕熱系統式中,輻射參數(W/)為
絕熱系統…… (1-9)
絕熱系統式中,為光學厚度定義為
絕熱系統…… (1-10)
絕熱系統
絕熱系統
絕熱系統其中,為單色消光係數,,L為間隔層厚度,為光子平均自由程。
絕熱系統
絕熱系統
絕熱系統氣體傳導參數(W/)為 …… (1-11)
絕熱系統其中,R為氣體常數(J/k),M為氣體分子量(kg/mol),P為氣體壓力(N/)。
絕熱系統
絕熱系統對於結構密實的間隔材料的固體傳導參數(W/)為
絕熱系統…… (1-12)
絕熱系統其中,為接觸傳熱係數。
絕熱系統對於網式間隔物: …… (1-13)
絕熱系統為接觸係數;
絕熱系統對於沒有間隔材料的波形屏: …… (1-14)
絕熱系統
絕熱系統
絕熱系統
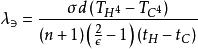
絕熱系統(W/)的經驗公式之一是:(W/) …… (1-15)
絕熱系統P為接觸壓力(N/)。
絕熱系統
絕熱系統
絕熱系統現將式(1-8)表達的兩個相鄰屏之間的傳熱式歸納成多層系統的傳熱式。設兩邊界的溫度分別是和;多層系統為均勻分布,即,則有:
絕熱系統…… (1-16)
式中,(N-1)為間隔數。
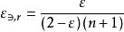
隔熱屏的層數n=N-2。
在實際套用中,由於必須考慮眾多的因素,因此經常得到形式不一的半經驗公式。
絕熱系統的不可逆變化
我們認為一個熱力學上的孤立系統,也稱為絕熱系統,在熵變規律方面,其行為和孤立系統一樣,也就是說,如果一切交換都不是可逆的,則熵增加。
絕熱系統設()為由系統(S)和一個或數個熱源組成的體系。如只在(S)與熱源之間可以交換熱量,整個體系就是一個絕熱體系。
單熱源的過程
絕熱系統
絕熱系統
絕熱系統如系統(S)只與一個溫度為的熱源進行熱交換,則它所進行的過程叫做單熱源過程,當此熱源傳給(S)熱量時,可以構想一個可逆過程,在此過程中它吸收的熱量,以此來計算其熵變:。
絕熱系統
絕熱系統如果(S)的熵變為dS,則總體系的熵變應為正:→。
絕熱系統
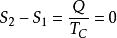
絕熱系統如果在一過程中熱源輸送了熱量Q,系統(S)的熵變為,則有:
如果過程是閉合的,則(S)經歷一單熱源循環,這時就有在(S)的這一循環過程中
W+Q=0. Q0
藉助於單一熱源不可能“產生”功。
絕熱系統如果過程是準靜態的,,因而Q和W均為零。
雙熱源循環
絕熱系統
絕熱系統
絕熱系統
絕熱系統如果系統(S)經歷一個閉合過程,在此過程中它與兩個溫度恆為與的熱源與交換熱量,我們就說它經歷了一個雙熱源循環。
雙熱源循環包含四段過程:
絕熱系統
絕熱系統其中有兩段是系統(S)先於,然後與接觸的過程,它們由兩段絕熱過程分開,系統就是通過這兩個絕熱過程從與一個熱源接觸過渡到與另一熱源接觸。我們注意到,準靜態雙熱源循環就是卡諾循環。
絕熱系統
絕熱系統
絕熱系統
絕熱系統
絕熱系統
絕熱系統如果溫度為和的熱源以不可逆的方式將熱量與傳給系統(S),則它們的熵變為和;
絕熱系統
絕熱系統(S)由於經歷了一個循環過程,其熵變為零,這三者組成的總體系的熵變應為正:,即(克勞修斯不等式)。
絕熱系統
絕熱系統
絕熱系統
絕熱系統
絕熱系統
絕熱系統
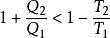
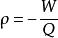
絕熱系統熱機的情形:熱機的效率為即,這是因為在這個循環中.熱機從高溫熱源吸收熱量,為正,克勞修斯不等式可寫為,即.
絕熱系統
絕熱系統
絕熱系統是熱機在作準靜態循環時的效率,因此。
