簡介
絕熱過程(adiabatic process)是指任被研究物體與外界無熱量交換時的狀態變化過程,是在和周圍環境之間沒有熱量交換的情況下,一個系統的狀態的變化。在這種狀態下計算物體的溫度分布以及熱量流動的計算稱為絕熱計算。
絕熱計算在工程實際中的套用
LNG球形貯罐絕熱計算
有學者 分析了貯罐絕熱體的傳熱規律,並建立了模型。通過近似理論計算得到了通過絕熱體的傳熱量;利用計算軟體對絕熱體內傳熱過程進行了有限元計算,獲得了通過貯罐絕熱體的傳熱量以及絕熱體內溫度場的分布。
量子絕熱計算
絕熱量子計算對量子算法設計來說是一種新的計算方式。它已在某些領域得到套用。量子SAT絕熱算法是體現絕熱計算思想第一個實例。研究它對解決其它經典NP 完全問題有著十分重要的作用。目前能否用絕熱計算解其它經典NP 完全問題仍是一個需要進一步研究的課題,特別是用量子絕熱計算解決經典領域不可計算問題的研究 。
絕熱計算與能量恢復型CMOS電路
能量恢復型電路(或稱絕熱電路)的提出為VLSI的低功耗設計與絕熱計算的實現提供了一種嶄新的途徑 。有文章 指出,能量恢復型電路主要是通過延長開關工作時間,使流過MOS器件的電流足夠小,從而極大降低消耗在器件溝道電阻上的能量,並回收貯存於輸出節點上的電荷來達到顯著降低功耗並實現能量的重複利用的目的。而在對其基本電路單元的結構設計中,門電路應是實現絕熱計算的基礎,因此對它的研究更為重要而不可避免。
空調工程絕熱的計算設計問題
空調工程中絕熱工程的質量與設計、安裝和施工以及絕熱材料的質量有密切的關係。計算設計是取得空調工程絕熱最佳效果和效益的關鍵環節 。工程設計人員應當嚴格按照國家規範和有關技術措施來指導絕熱工程的設計,避免產生錯誤而造成不必要的損失。現在很多絕熱材料製造商已根據不同的管徑大小做成絕熱材料製品,絕熱厚度和容重都已根據不同需要生產出成品。但是設計人員在選用這些材料時還必須通過計算來確認一下採用那種規格的材料,絕熱材料的選用還必須滿足消防要求。
總之空調絕熱計算設計的基本原則是在確保絕熱外表面溫度高於當地氣象條件下的露點溫度,防止外表面凝露以及滿足使用要求的原則下,選取優質的絕熱材料,通過計算來確定合理的絕熱層厚度並設計可靠的科學的絕熱結構。
工程上部分絕熱計算公式
1.設備筒體或管道絕熱、防潮和保護層計算公式:
絕熱計算
絕熱計算( )
絕熱計算
絕熱計算( )
式中 D---直徑(m);
1.033及2.1---調整係數;
絕熱計算---絕熱層厚度(m);
L---設備筒體或管道長度(m);
0.0082---綑紮線直徑或帶厚+防潮層厚度(m)。
2.伴熱管道絕熱工程量計算式:
將下列D'計算結果分別代入1中的兩個公式計算出伴熱管道的絕熱層、防潮層和保護層工程量。
(1)單管伴熱或雙管伴熱(管徑相同,夾角小於90°時)
絕熱計算式中 D′---伴熱管道綜合值;
絕熱計算---主管道直徑;
絕熱計算---伴熱管道直徑。
(10~20mm)---主管道與伴熱管道之間的間隙。
(2)雙管伴熱(管徑相同,夾角大於90°時)
絕熱計算(3)雙管伴熱(管徑不同,夾角小於90°時)
絕熱計算
絕熱計算式中 ---主管道直徑;
絕熱計算---伴熱管大管直徑。
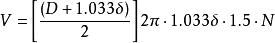
3.設備封頭絕熱、防潮和保護層工程量計算公式:
絕熱計算
絕熱計算( )
絕熱計算
絕熱計算( )
式中 N---封頭個數。
4.閥門絕熱、防潮和保護層計算公式:
絕熱計算
絕熱計算( )
絕熱計算
絕熱計算( )
式中 N---閥門個數。
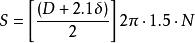
5.法蘭絕熱、防潮和保護層計算公式:
絕熱計算
絕熱計算( )
絕熱計算S=π×(D+2.1δ)×1.5D×1.05×N ( )
式中 N---法蘭數量(副)。
6.油罐拱頂絕熱、防潮和保護層計算公式:
絕熱計算
絕熱計算( )
絕熱計算
絕熱計算( )
式中 r---油罐拱頂球面半徑;
