基本介紹
絕對靜電系單位制
絕對靜電系單位制
絕對靜電系單位制
絕對靜電系單位制
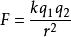
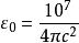
絕對靜電系單位制絕對靜電系單位制(absoIute eIectrostatic system of units)是電磁學中一種以靜電力為基礎的絕對單位制。這種單位制選取長度、質量和時間三個量為基本量,基本單位是厘米、克、秒。電量的單位是電學中第一個導出單位,它的定義方程式是真空中的庫侖定律即 。式中 為兩個點電荷之問的距離,令 ,並設 ,由此可以確定電量的單位,即當有相等電量的兩個點電荷在真空中相距1厘米,而相互作用恰為1達因時,則每個點電荷的電量為1CGSE,或稱為 靜庫。靜庫是很小的電量單位,它和庫侖的關係是:1靜庫= 庫侖。
絕對靜電系單位制中,所有電磁學量的單位一般沒有特別的名稱,通常都以CGSE來標記。CGSE單位通常只用來量度電學量。雖然它也可以用來量度磁學量,但實際上很少使用 。
靜庫
靜庫(statcoulomb)是絕對靜電系單位制中的電量單位。它和MKSA單位制中的電量單位庫侖乏間的關係為
絕對靜電系單位制1靜庫= 庫侖.
靜亨
靜亨(stathenry)絕對靜電系單位制中的自感單位。它和MKSA單位制中自感的單位亨利之間的關係為
1靜亨=9×10 亨利.
靜歐
靜歐(statohm)是絕對靜電系單位制中電阻的單位。它和MKSA單位制中電阻的單位歐姆之間的關係為
1靜歐=9X10 歐姆.
靜安
靜安(statampere)是絕對靜力系單位制中電流強度的單位。它和MKSA單位制中電流強度單位安培之間的關係為
絕對靜電系單位制1靜安= 庫侖.
靜法
靜法(statfarad)絕對靜電系單位制中的電容單位。它和MKSA單位制中電容的單位法拉之間的關係為
絕對靜電系單位制1靜法= 法拉。
電磁學量的單位制
電磁學量有多種單位制,常用的有以下幾種:
(1)絕對靜電系單位制,簡稱 靜電 單位制,又稱 CGSE制。
(2) 絕對電磁系單位制,簡稱 電磁 單位制,又稱 CGSM制。它是以電流的磁力為基礎的絕對單位制,選取長度、質量和時間為基本量,基本單位是厘米、克和秒,電流強度的單位是第一個導出單位,根據安培定律和畢奧-薩伐爾定律定出,稱為電磁安培,簡稱磁安。所有其他電磁學量的單位再由電流的單位和有關定律或定義導出,它們一般都用CGSM表示,只有幾個單位有特定的名稱:磁感應強度單位為高斯,磁通量單位為麥克斯韋,磁場強度單位為奧斯特。
絕對靜電系單位制
絕對靜電系單位制
絕對靜電系單位制
絕對靜電系單位制(3) 高斯單位制。它是一種混合的單位制,凡是電學量都用靜電制單位,而磁學量都用電磁單位制單位。這時,真空電容率 和真空磁導率 都等於1,介電常數 和磁導率 都是無量綱的純數。
絕對靜電系單位制
絕對靜電系單位制
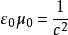
絕對靜電系單位制(4) 國際單位制,又稱 SI制。此單位制的電磁學部分的基本量為長度、質量、時間和電流,基本單位分別為米、千克、秒和安培。1安培電流等於1/10CGSM制單位的電流。力、功和功率單位分別為牛[頓]、焦(耳]和瓦[特]。電荷、電場、電位單位可通過有關定義確定,分別為庫[侖]、牛/庫(等於伏/米)和伏。這時,真空電容率 庫 /(千克·米)(其中c本身帶量綱)。磁感應強度B和磁場強度H的單位通過法拉弟電磁感應定律和安培環路定律確定,B的單位是特[斯拉],H的單位是安/米。真空磁導率 千克·米/庫 , 。在電工和實用方面常採用這一單位制。
(5) 有理化米千克秒安培單位制。又稱MKSA單位制,是國際單位制中有關電磁學的一部分 。

