內容介紹
絕對約束(硬約束)是指必須嚴格滿足的等式或不等式約束,如線性規劃問題中的所有約束條件都是絕對約束。
目標約束是目標規劃特有的約束,它是把要追求的目標的理想值作為右端常數項,在目標表達式左端加減正負偏差變數構成的等式約束,目標約束是由決策變數、正負偏差變數及理想值構成的軟約束。
在目標規劃中,絕對目標約束就是必須要嚴格滿足的約束。絕對目標約束是最高優先權,在考慮較低優先權的目標之前它們必須首先得到滿足。
比較
線性規劃只有一個目標函式,屬於單目標問題。線性規劃中,為得到一個可行解,必須滿足所有的約束條件。線性規劃中列出的約束條件均為嚴格滿足的等式或不等式的約束,所以線性規劃問題中的所有約束條件都是絕對約束,線性規劃問題求解環境為絕對約束環境。
實際問題中往往要考慮多個目標,這一系列目標之間,不僅有主次之分,而且有時會互相矛盾。目標規劃正是為了解決這類多目標問題而產生的一種方法。目標規劃就是在滿足現有的一組約束條件下,求出儘可能接近理想值的解,這個解稱為滿意解。在目標規劃中,並不認為所有約束都是絕對的,因此對於非絕對的約束,目標規劃並不要求絕對滿足,而是設法使各目標離原先設定的意向指標值的偏差儘可能的小。所以目標規劃問題求解環境不是絕對約束環境。
轉化
絕對約束又稱系統約束,是指必須嚴格滿足的等式和不等式約束,如線性規劃問題的所有約束都是絕對約束,不滿足這些約束條件的解稱為非可行解,所以它們是硬約束。對那些不嚴格限定的約束,連同原線性規劃建模時的目標函式轉化為的約束,均可通過目標約束來表達。絕對約束與目標約束的轉化過程如下。
將目標函式轉化為目標約束:在引入了目標值和正、負偏差變數後,可以將原目標函式加上負偏差變數 ,減去正偏差變數,並令其等於目標值,這樣形成一個新的函式方程,把它作為一個新的約束條件,加入到原問題中去,稱這種新的約束條件為目標約束。
將絕對約束轉化為目標約束:根據需要將絕對約束轉化為目標約束,這時只須將該約束的右端項看作目標值,再引入正、負偏差變數即可。在達到此目標值時允許發生正或負偏差,因此在這些約束中加入正、負偏差變數,它們是軟約束,在給定目標值和加入正、負偏差變數之後,可以將絕對約束轉化為目標約束。
1.將目標函式轉化為目標約束:在引入了目標值和正、負偏差變數後,可以將原目標函式加上負偏差變數 ,減去正偏差變數,並令其等於目標值,這樣形成一個新的函式方程,把它作為一個新的約束條件,加入到原問題中去,稱這種新的約束條件為目標約束。
2.將絕對約束轉化為目標約束:根據需要將絕對約束轉化為目標約束,這時只須將該約束的右端項看作目標值,再引入正、負偏差變數即可。在達到此目標值時允許發生正或負偏差,因此在這些約束中加入正、負偏差變數,它們是軟約束,在給定目標值和加入正、負偏差變數之後,可以將絕對約束轉化為目標約束。
舉例
例1.工廠生產兩種產品,受到原材料供應和設備工時的限制。在單件利潤等有關數據已知的條件下,要求制訂一個獲利最大的生產計畫,具體數據見下表1。
| 產品 | Ⅰ | Ⅱ | 限量 |
| 原材料(kg/件) | 5 | 10 | 60 |
| 設備工時(h/件) | 4 | 4 | 40 |
| 利潤(元/件) | 6 | 8 |
絕對約束環境
絕對約束環境解析:該問題屬於線性規劃問題,只有一個目標函式,約束條件均為嚴格滿足的等式或不等式的約束,求解環境為絕對約束環境。因此設產品Ⅰ、Ⅱ的產量分別為 和 ,建立線性規劃模型。
絕對約束環境目標函式: ;
絕對約束環境約束條件: 。
絕對約束環境
絕對約束環境
絕對約束環境解得最優生產計畫為 件, 件,利潤為 元。
例2.接例1,如果工廠作決策時可能還需根據市場和工廠實際情況,考慮其它問題,如:
由於產品Ⅱ銷售疲軟,故希望產品Ⅱ的產量不超過產品Ⅰ的一半;
原材料嚴重短缺,原料數量只有60;
最好能節約4小時設備工時;
計畫利潤不少於48元。
1.由於產品Ⅱ銷售疲軟,故希望產品Ⅱ的產量不超過產品Ⅰ的一半;
2.原材料嚴重短缺,原料數量只有60;
3.最好能節約4小時設備工時;
4.計畫利潤不少於48元。
解析:可知要求1,3,4為非絕對的約束,目標規劃並不要求絕對滿足,而是設法使各目標離原先設定的意向指標值的偏差儘可能的小,故求解環境為非絕對約束環境。
絕對約束環境
絕對約束環境
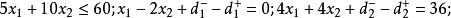
絕對約束環境在例1中若工廠提出的管理目標按優先權排列如下: 級目標:希望產品Ⅱ的產量不超過產品Ⅰ的一半; 級目標:最好能節約4小時設備工時; 級目標:希望計畫利潤不小於48元;由於原材料嚴重短缺,故原材料約束作為絕對約束。建立目標規劃模型。
絕對約束環境目標函式: ;
絕對約束環境約束條件:
絕對約束環境其中①為絕對約束,②、③、④為目標約束。

