基本原理
細胞神經網路(Cellular Neural Network,CNN)由 Chua 和 Yang 於 1988 年提出,是一種局部互連、雙值輸出的信號非線性模擬處理器,具有連續實時、能高速並行計算、適用於超大規模積體電路(Very Large Scale Integration,VLSI)實現等特點。二十多年來 CNN 研究的成果已廣泛套用於生物醫學、圖像處理、自動控制、模式識別、信號處理、保密通信等諸多領域。
CNN 電路的理論設計和硬體實現是依據人腦生物神經網路對信息處理機制的簡化模擬,與生物神經元不同,CNN 細胞神經元之間的聯繫主要由權值模板控制,模板的不同體現出的非線性特徵也各異,而具有記憶特性的憶阻器可被套用於神經元與神經元之間的機能連線點(突觸),芬蘭圖爾庫大學 Lehtonen 用 SPICE模擬仿真憶阻模型,將其套用到 CNN 細胞的權值電路中,日本福岡工業大學 Itoh 和 Chua 將分段線性憶阻套用到細胞自動機中實現邏輯運算和圖像處理等功能。
神經元
細胞神經網路CNN 是一種能實時處理信號的大規模非線性模擬系統,它的每一個基本電路單元為一個細胞神經元,是由相同的細胞神經元在空間上規則排列連線而成。這些細胞神經元只與相鄰連線的細胞神經元聯繫,相互作用,每個神經元都具有輸入、輸出和動力學規則相關的狀態。由於 CNN 具有連續時間的動力學行為,使得不鄰近的細胞神經元也可有間接的影響。本文以 9 個細胞為例,按 3 行 3列矩形格線排列成一個二維的 CNN 結構,如圖 1 所示,位於第i 行第 j 列的細胞記為C (i, j) 。
細胞神經網路圖 2 為一個細胞神經元的等效電路圖,其包含電容、電阻、控制電源及獨立電源。
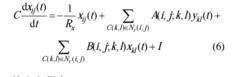
細胞神經網路細胞單元C(i,j) 的狀態方程為:
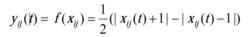
細胞神經網路輸出方程為:
細胞神經網路每個細胞的內在機制可用下圖所示的運算放大器電路來實現。
細胞神經網路
