概念
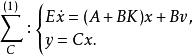
純狀態反饋(pure state feedback)是廣義系統的一種反饋形式。它是僅含有系統狀態變數的反饋。給定廣義系統:
純狀態反饋形如u=Kx+v(其中K∈R)的反饋稱為純狀態反饋,簡稱狀態反饋。在純狀態反饋下閉環系統為:
純狀態反饋閉環系統Σ(E,A+BK,B,C)具有如下性質:
1.對任意的反饋增益陣K∈R ,閉環系統至多有rank E個有限極點;
2.存在一個K∈R,使得閉環系統具有rank E個有限極點的充分必要條件是廣義系統Σ(E,A,B,C)是脈衝能控的;
3.如果Σ(E,A,B,C)是強能控的,則必存在K∈R,使得閉環系統Σ(E,A+BK,B,C)有rank E個可任意配置的有限極點,即對任給的rank E個共軛成對的複數集合Λ,總可找到K∈R,使得σ(E,A+BK)=Λ。
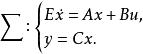
廣義系統
廣義系統亦稱奇異系統或描述器系統。一類蛻化的或推廣的系統模型。線性系統各狀態變數的微分之間不獨立的情形,實質上是若干代數式和微分式的耦合。其連續時間情形的數學模型為Ex·=Ax+Bu,Y=Cx,而E為一不滿秩的矩陣。這類系統最早於1974年提出,其背景為某些電氣網路、經濟學中的列昂節夫(Leontief,W.)的投入產出模型、哈羅德(Harrod)和薩繆爾森(Samuelson,P.A.)的國民經濟模型,以及若干人口、生態問題等。它也可能是奇異攝動系統中令小參數ε=0時的一級近似。將狀態變數x重新組合相當於矩陣E進行相似變換,可以把系統變為m階(m=rank E)微分方程和n-m個線性代數式的組合。當det(λE-A)不恆為0時,廣義系統稱為可解的。廣義系統除了對應於常規極點的指數運動模式,還具有無窮遠極點對應的脈衝模式。它可能包含輸入的導數項,從而不滿足因果性條件。廣義系統的研究成果包括:用矩陣束理論導出的可解性、能控能觀性、極點配置、最優控制,以及隨機廣義系統基於觀測與估計的動態反饋等問題。
反饋
原為電子工程物理學和控制論中的概念,指發出的電波信號的回流。在傳播學中,指客群對傳播者所發出的信息的反應。客群回傳給傳播者的信息稱為反饋信息。傳播者通過反饋信息調整、修改、補充下一次傳播的內容、方式、渠道、時間和形式,以加強針對性,使傳播內容更易為客群所接受,從而收到更好的傳播效果。反饋是構成傳播過程的要素之一,使傳播過程具有雙向性質,信息傳播與信息反饋相互依存,相互作用。沒有信息傳播,也就沒有信息反饋;受傳者對收到的任何形式和種類的信息,都會作出不同形式、不同程度的反應,其中有些能被傳播者了解和接受,有些則不能。客群向傳播者回傳的反饋信息,往往是通過寫信、打電話、電報等形式實現的。受傳者是反饋信息的信息源。傳播者也可主動蒐集客群的反饋信息,採取的主要形式是開座談會、調查、面訪等。廣播的收聽率、電視的收視率、報刊的發行量等,也是客群反饋的一種形式。反饋的特點是:在人際傳播中,反饋及時、迅速、直接、明顯。大眾傳播的反饋則與此不同,有如下特點:(一)不及時性:客群不能馬上將自己的反應回傳給傳播者,傳播者也不能及時了解客群的反應。在一般情況下,傳播者收到反饋信息往往已經過時,難以及時處理反饋信息。(二)間接性:受傳者很難直接將自己的反饋信息傳達給作者、主持人、編導人員等傳播者;傳播者則往往要通過第三者——專門機構或組織的調查和統計間接了解客群的反饋。(三)代表性:個別的反饋信息往往不被傳播者重視,只有眾多的、有代表性的反饋信息才能起到調整下次傳播的作用。(四)量化性:反饋往往用數據來體現,如收聽率、收視率、發行量等。反饋一般有正反饋和負反饋、前饋和後饋等形式。正反饋指反饋信息與傳播者的給定信息基本一致,並對給定信息起一種增強作用。負反饋指反饋信息與傳播者的給定信息有某種偏離,並對給定信息起削減作用。客群在傳播者發出信息前預先對傳播內容和形式提出要求和願望,稱為前饋或預饋;在傳播內容抵達受傳者後所發出的反饋信息稱為後饋。傳播者根據前饋調節、修正傳播內容和形式,其效果往往是好的,如“聽眾點歌”、“根據聽眾要求安排的節目”等。
