概念
紐馬克-β法
紐馬克-β法
紐馬克-β法
紐馬克-β法 紐馬克-法是一種將線性加速度方法普遍化的方法。紐馬克-法可認為是概括了平均常加速度和線性加速度算法的一種廣義算法。紐馬克-法有擬靜力增量方程形式和不同類型的擬靜力全量方程形式。在有限元動態分析中最常用的有中心差分法、紐馬克-法(Newmark)和威爾遜-θ法。
基本原理
紐馬克-β法
紐馬克-β法
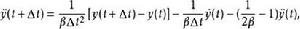
紐馬克-β法 紐馬克法是對線性加速度假定做了修正,在 時刻的速度和位移表達式中引入兩個參數 、 ,得紐馬克法的兩個基本方程:
紐馬克-β法
紐馬克-β法
紐馬克-β法
紐馬克-β法
紐馬克-β法
紐馬克-β法
紐馬克-β法
紐馬克-β法
紐馬克-β法
紐馬克-β法
紐馬克-β法
紐馬克-β法
紐馬克-β法
紐馬克-β法
紐馬克-β法
紐馬克-β法
紐馬克-β法
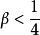
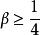
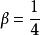
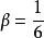
紐馬克-β法 若在 和 兩個式子中令 ,只保留參數 ,即為紐馬克- 法。 值常取為 ;令 , ,這就相當於加速度在 時段內線性變化,即威爾遜- 法中 的情況;若令 , ,這相當於加速度在 內為常量,其值為 兩端加速度的平均值,即為平均加速度法。
紐馬克-β法
紐馬克-β法 由 和 兩個式子,可得:
紐馬克-β法
紐馬克-β法
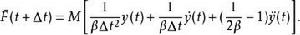
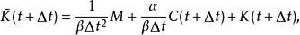
紐馬克-β法 將上面兩個式子代入 時刻的動力方程,經整理後得:
紐馬克-β法 式中
紐馬克-β法
紐馬克-β法
紐馬克-β法
紐馬克-β法
紐馬克-β法
紐馬克-β法
紐馬克-β法
紐馬克-β法
紐馬克-β法
紐馬克-β法
紐馬克-β法
紐馬克-β法
紐馬克-β法
紐馬克-β法
紐馬克-β法
紐馬克-β法
紐馬克-β法 紐馬克-法的計算精度取決於時間步長的大小。而時間步長的確定必須考慮荷載變化情況和系統自振周期的長短。為了保證感興趣的高頻分量的貢獻,通常要求小於對回響有重要影響的最小結構自振周期的。穩定性研究還表明:當時,紐馬克-法是無條件穩定的;時,則是有條件穩定的,其穩定性條件為:對於,和這三種情況,必須分別小於,和,其中為結構的最小自振周期。

